Skip to main content
Go to the home page of the European Commission (opens in new window)
English English
CORDIS - EU research results
CORDIS

New measurement of ultra-high energy interactions using radio detection of cosmic ray air showers

Periodic Reporting for period 1 - RADIO4MU (New measurement of ultra-high energy interactions using radio detection of cosmic ray air showers)

Reporting period: 2022-10-03 to 2024-10-02

According to Einstein's theory of special relativity energy can be transformed into mass and vice versa. A dramatic demonstration of this principle is the release of the energy inherent in a few kilograms of Plutonium as radiation and ultimately heat (accelerated matter) in the explosion of a nuclear bomb. An example of the opposite process, the conversion of energy into matter occurs every time ultra-high energy radiation (so-called ultra-high energy cosmic rays) enters the Earth's atmosphere and interacts with the atoms therein. In this interaction a fraction of the energy is converted into new matter (particles) and radiation which then in turn can interact with the atoms in the atmosphere and so on. Such cascades of particles and radiation are called extensive air showers. They are observed regularly with scientific installations such as the Pierre Auger Observatory, either by observing the radiation that is emitted as the cascade develops in the atmosphere with special UV telescopes or by detecting the matter that reaches the ground with an array of particle detectors. Cosmic rays have been observed since the early 1900s and the ultra-high energy cosmic rays are being studied since the 1980s. Nevertheless their origin remains unknown to this day. In addition it has been observed for a while now that the matter content observed in such air showers does not match our expectations. Specifically the measurements with particle detectors at the ground suggest that matter in the form of muons (an elementary particle) occurs much more frequent than what we expect (referred to as the muon puzzle).

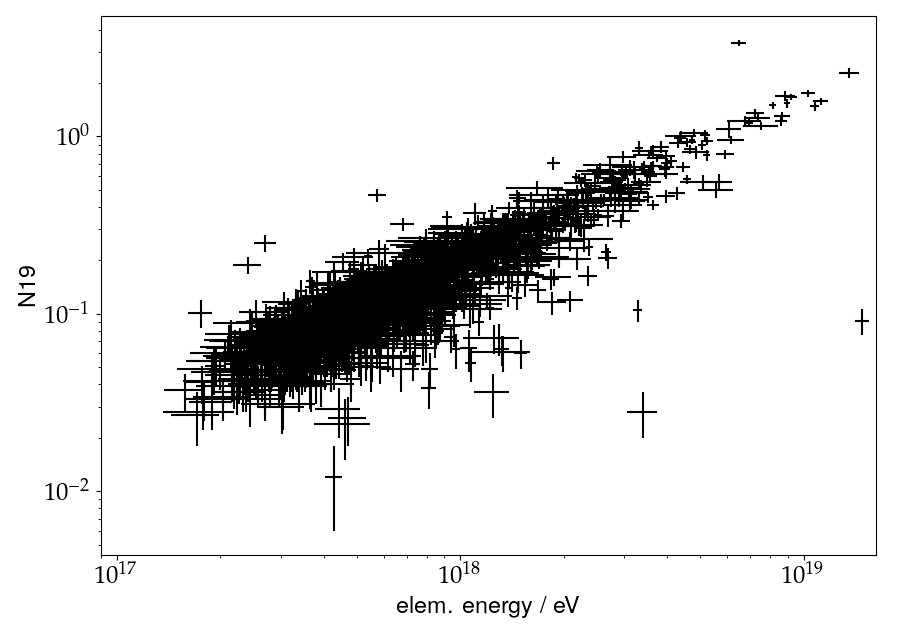
The aim of this project is to shed new light on the muon puzzle by providing a new precision measurement of the muon content in air showers by using the novel technique of measuring the radiation emitted in the atmosphere with radio antennas instead of UV telescopes. These radio observations have been carried out between 2016 and 2019 but the data were not used sofar because the analysis of the particle detectors for the corresponding data has been missing. The main objectives of this project are to: 1) implement an analysis of the particle detector measurements (so-called reconstruction). 2) combine these with the radio data including data cleaning (for example removing periods with thunderstorms where there is a lot of radio background in the atmosphere), 3) analyze the combined data for the muon content.
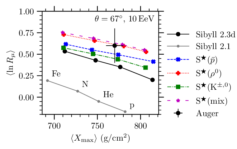
To reach these objectives the existing analysis of the particle data was extended with a new parameterisation of the expected matter content of different types of matter in air showers (so-called electromagnetic correction). Afterwards the analysis was successfully applied and combined with the radio measurements, yielding a two - three times larger data set than what was previously available. Unfortunately it became apparent that the precision of the analysis of the radio data also has to be improved to provide a useful measurement of the muons. Since the development of such an analysis was beyond the scope of the project a different approach has been persued. Instead of attempting to gain new insights into the muon puzzle through new measurements an analysis of the expectation of the muon content in air showers was carried out.
This revealed that simple adjustments of the expectated outcome of particle interactions, adjustments that are within typical measurement uncertainties, are sufficient to change the expectations for the muon content in air showers such that the muon puzzle is resolved. This analysis was done with a computer program that calculates the outcome of the particle interactions in the atmosphere. Thanks to the adjustments developed during this project the program now describes the particle content and emitted radiation of air showers sufficiently precise that it's predictions can be used to develop new analysis techniques and train machine learning algorithms that in the future will help us find the origin of ultra-high energy cosmic rays.
ad-hoc Sibyll modifications that illustrate solutions to the muon puzzle
Auger events with measured energy (engineering radio array) and muon content (750m array)
My booklet 0 0