Skip to main content
Go to the home page of the European Commission (opens in new window)
English English
CORDIS - EU research results
CORDIS

Active PRoduct-to-Process LearnIng fOR Improving Critical Components Performance

Periodic Reporting for period 1 - APRIORI (Active PRoduct-to-Process LearnIng fOR Improving Critical Components Performance)

Reporting period: 2023-03-01 to 2025-02-28

The manufacturing sector is undergoing a significant transformation, driven by the rapid rise of additive manufacturing, the ongoing Fourth Industrial Revolution (Industry 4.0) and a growing demand for customized products. As this evolution continues, it must align with urgent and non-negotiable sustainability goals—particularly the need to minimize energy losses wherever possible.

To meet these challenges, it is essential to cultivate a new generation of highly skilled young engineers and innovators who can strengthen Europe’s leadership in engineering science. These future professionals must be equipped to tackle two major technical hurdles: the uncertainty inherent in manufacturing processes—such as human errors, material and geometric variability, or machine setup inconsistencies—and the increasing complexity of products, particularly when it comes to critical parts and components.

The Active PRoduct-to-Process LearnIng fOR Improving Critical Components Performance (APRIORI) Doctoral Network aims to address this need by training the next generation of Doctoral Candidates (DCs) to support the EU manufacturing sector's sustainable transformation. The program will focus on building the skills and developing the technologies necessary to pioneer an integrated product design strategy—one that significantly enhances the performance of critical components, even in the face of production uncertainties.

To achieve this, the APRIORI network will combine advanced data-driven approaches with high-fidelity numerical models of both the manufactured products and the manufacturing processes. This unique integration is key to overcoming existing limitations and unlocking new levels of efficiency and reliability.

The APRIORI consortium brings together leading academic and industry partners: universities (KU Leuven, TU Delft, and Aalborg University), a research institute (Jožef Stefan Institute), a major player in manufacturing (GMA), a 3D manufacturing software developer (MAT), a data-driven smart industry SME (QLE) and an engineering firm (TWD) specializing in method engineering and equipment design.

Attached images show the consortium at the last GA/SB meeting at Materialise, 1 of the training events and a picture from the joint APRIORI/METAVISION/VAMOR event where DCs from 3 projects met and discussed their progress during a poster session. The project website can be reached via https://www.heu-apriori.eu/(opens in new window).
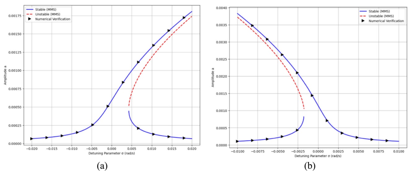
In WP2 (Integrated Performance Assessment), DC5, DC6, D7 and DC8 worked on the coupling of high-fidelity manufacturing simulations with performance models. DC5 developed digital twins for quality control within the injection moulding process and has employed Artificial Neural Networks to detect output faults based on process parameters and sensor data. DC6 focuses on the prediction of the quality of the metal AM process. An initial dataset of stress, strain, displacement of 512 unique designs has been used, looking at outcomes such as shape deviation, crack and shrink marks. DC7 has looked into linear and non-linear calculations models for thin cylindrical shells with membrane nonlinearities. A shape-imperfection model has been developed and validated with Finite Element calculations. This led to the project's first journal publication, see also picture attached. DC8 has modelled a PCB substrate with homogenized material properties and has developed a reduced order model based on a limited set of dominant vibration patterns to estimate fatigue life. Results have been validated experimentally. DC7 and DC8 also developed efficient optimization strategies for performance prediction. DC7 has developed reduced order models (single-mode and bimodal) that allow to predict nonlinear sensitivity. The reduced-order models of DC8 an be effectively used to propagate uncertainties affecting the dynamic stress of critical components. Additionally DC4 looked at coupled data-driven and physics-based models for virtual sensing and condition monitoring. DC4 is exploring how variation in geometry and material impact acoustic (spiral-shaped) metamaterials. So far analytical and numerical results match well with literature findings and a first (additive manufactured) prototype has been measured. Now the design will be extended towards injection moulding.

In WP3 (Uncertainty and Part-to-Part Variability Quantification), DC1 and DC2 have worked on improving knowledge of uncertain parameters. DC1 has developed a copula-based method to additive manufacturing. DC2 employs a Bayesian approach to define the correlation between random variables in the spatial domain. Additionally DC2 and DC3 have worked on propagating uncertainties to quantify their effect on performance. DC2 looks at ways to couple the copula approach and the statFEM forward problem procedure. DC3 only joined the project very recently and started modelling the Maxwell-slip model to capture friction dynamics.

Finally, in WP4 the focus is on the use of semantic technologies to support modelling, explanation and optimization of interlinked manufacturing processes involving critical components. Within this WP DC9 has worked on the development of theoretical foundation of knowledge modelling. To model knowledge in predictive maintenance, causal discovery techniques have been applied and compared with special focus to explainability. A framework is developed that allows combining causal graphs, hierarchical taxonomies and LLM-based reasoning. The validation and refinement of the proposed approaches through experiments have shown so far that gradient boosting achieved the highest performance, but the methods should be further validated and tested in diverse domains.
WP2:
- DC4 has designed acoustic quarter wavelength resonators by additive manufacturing and is now extending her design to injection moulding.
- DC5 developed a binary classification (based on 554 samples) linking process parameters and sensor data with quality control metrics for the injection moulding process. Best results were obtained with a Tree-Structured Parzen Estimator.
- DC6 collected a suitable dataset for metal additive manufacturing to develop a predictive data driven model to predict if defects will occur, leading to first positive preliminary results.
- DC7 has developed thin cylindrical shell models including membrane non-linearity that retain axial-transverse coupling.
- DC8 has developed dynamic models to predict the life time of PCB components and reduced order models that allow to propagate uncertainties affecting the dynamic stresses.

WP3:
-DC1 has suggested a preferred operational window for AM to achieve a balance within the trade-off between final product quality and productivity using a copula-based technique.
-DC2 has developed a way to combine statFEM and the copula approach, but also highlights issues with moment-matched solutions.
-DC3 has worked towards the implementation of dynamic friction forces initiated between a support structures and friction parts or rollers. Hereto several state-of-the-art theoretical frameworks have been considered. This model will be updated for visco-elastic material properties and then compared to experimental friction data.

WP4:
-DC9: A theoretical framework is developed combining active learning strategies with explainability techniques in order to increase defect detection accuracy.
-DC10: is yet to be recruited.
Technical result - validation of newly implemented Method of Multiple Scales - DC7
Technical Workshop @ Materialise
Training on additive manufacturing
Joint VAMOR - METAVISION - APRIORI event
My booklet 0 0