Skip to main content
Go to the home page of the European Commission (opens in new window)
English English
CORDIS - EU research results
CORDIS

Dynamic Network Toolbox for Data-Driven Model Learning and Diagnostics

Periodic Reporting for period 1 - SysDyNetTool (Dynamic Network Toolbox for Data-Driven Model Learning and Diagnostics)

Reporting period: 2024-04-01 to 2025-09-30

Modern demands on the safe and efficient operation of engineering systems require the ability to model, monitor, optimize and control dynamic systems that are spatially interconnected as networks of dynamic systems. Examples can be found e.g. in distributed (smart) power systems, industrial production and manufacturing processes, transportation networks, etcetera. While the global behavior of the systems is the target of optimization, a single centralized (global) control and monitoring infrastructure is not viable anymore for realizing safe and efficient operation that can handle local disturbances and changes in the local systems and their dynamic properties, and/or changes in the interconnection structure.
In order for the systems operations to be able to adapt to changing circumstances and to diagnose system changes/faults, the use of sensor data in combination with dynamic models is of paramount importance. While sensor data is playing a tremendously increasing role as a basis for diagnostics, decision making and predictive maintenance, there are currently no standard software tools available for data analytics, data-driven modelling and machine learning, where effective use is made of the physical interconnection structure of the constituting subsystems.
The problem to be addressed is to provide engineers, designers, researchers and engineering students with an effective general purpose software toolbox for data analytics, including data-driven dynamic modelling and diagnostics, for the situation of spatially interconnected systems, based on recently developed methods and tools in dynamic network identification.
When successful, this software toolbox, implemented in the commonly used MATLAB environment, can serve as an important design and engineering tool for large scale dynamic systems operations, and used by researchers, engineers and designers in engineering offices, industrial research and development departments and universities.
and scientific aspects (communication and exploitation activities will be mentioned in another section). At the end of your project, please include the outcomes of the action.
A comprehensive MATLAB app and software toolbox has been developed, in prototype format, that supports the user with attractive interactive tools for data analytics, data-driven modeling and diagnostics in interconnected linear dynamic systems. The prime goal is to provide a set of tools for modeling the dynamic properties of interconnected linear systems, on the basis of measured time series at a selection of (node variable) locations in the network, complemented with time-series of possible external signals that drive the network. The set of tools comprizes:
(a) Methods for setting, editing and analyzing properties of network structures, including disturbances and excitations;
(b) Methods for analyzing single link / subnetwork / full network generic identifiability for networks with known topology;
(c) Methods for allocating actuators and sensors for guaranteeing (generic) identifiability;
(d) Methods for full network identification, including estimation of the network topology;
(e) Methods for single link / subnetwork identification.
(f) Exploiting links in the network with possible known dynamics ( e.g. controllers).
(g) Methods for diagnostics, fault detection and fault isolation in networks.
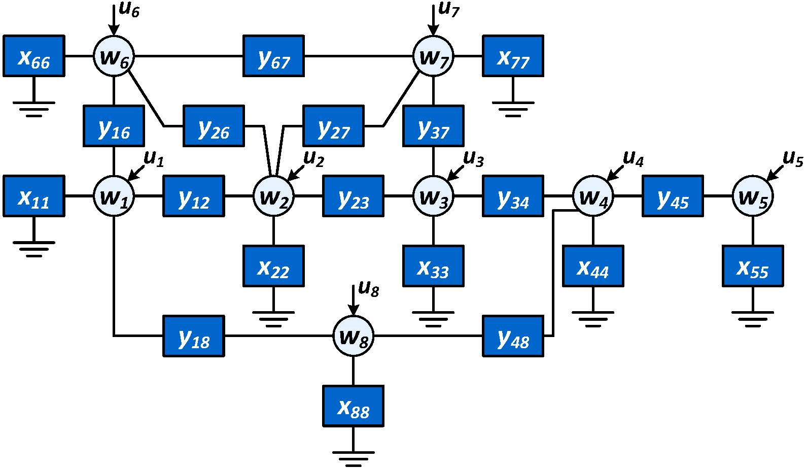
(h) All of these methods developed for two types of dynamic networks: (i) directed module-based networks, transfer-function-based as in SIMULINK and (ii) undirected diffusively coupled networks, polynomial-equations-based, as in SIMSCAPE.
In order to realize these objectives classes of data structures have been defined for handling (a) network data, (b) network interconnection structures (topologies), (c) (parametrized) network predictor and (d) (estimated) network models.
The software tool can be executed through an attractive graphical user interface, and supports the results through graphic-supported display of results. It is made available open-access through the landing page www.sysdynet.net.
MATLAB’s present data-driven modelling tools are collected in the commercially available, very popular, System Identification Toolbox. This Toolbox addresses the data-driven modeling problems related to (commonly unstructured) multi-input multi-output systems. When considering network of systems, i.e. systems that are interconnected, many additional questions appear in the workflows that will be followed by research and design engineers. The topology that defines the interconnection structure, including the possible presence of known modules (e.g. controllers), requires a workflow that goes far beyond the currently available tools. With the developed SYSDYNET app and toolbox a generalization has been made to a mature set of tools for addressing the problem of handling interconnected systems. A second step beyond the state of the art, is the extension of the dynamics modeling framework from directed (transfer-function-based) networks to undirected (polynomial-based) diffusively coupled networks. This latter class is more closely related to the underlying physical laws that are used for modelling dynamic systems, and therefore are more suitable for directly estimating physically interpretable parameters.
The current beta-version (0.4.1) of the app and toolbox are made available open access through the landing page www.sysdynet.net and can be downloaded under a General Public License GNU 3.0.
Although there are potentials for a full size commercial product, this will still require serious additional steps, and will be dependent on the interests of potential software partners. For the moment, the tool can serve as an important supportive tool for researchers and engineers that are studying interconnected systems. Demonstration of case studies and success stories is required to boost the interest and perceived relevance of the tools. While a further demonstration of potentials in the academic world is planned in the form of international PhD courses and Pre-Conference International Workshops, reaching out to industrial markets is further considered.
Example of undirected diffusively coupled network
Identification window of the Matlab App
Example of directed module dynamic network
My booklet 0 0