Skip to main content
Go to the home page of the European Commission (opens in new window)
English English
CORDIS - EU research results
CORDIS

REsummation-Improved moNtecarlo eVEnt geNeraTor

Periodic Reporting for period 4 - REINVENT (REsummation-Improved moNtecarlo eVEnt geNeraTor)

Reporting period: 2022-05-01 to 2023-10-31

The ultimate goal of physics is to understand in a quantitative manner the fundamental laws governing the interactions among the basics constituents of the universe. Our current understanding is based on the Standard Model of particle interactions, a quantum field theory which can be used to calculate the probability of a certain interaction to take place. The limits of this theory are tested at the Large Hadron Collider (LHC), where
experiments perform very precise measurements of large statistical samples of particle collisions, probing the SM validity at the highest energies and tiniest distances ever accessed by humans. This is a formidable task, both experimentally and theoretically:
on the experimental side, an extremely precise understanding of the statistical and systematic errors of the detectors is required; on the theoretical side, the most precise and accurate theory predictions are needed to match with the experimental precision, in a form
which makes the comparison with data straightforward. At hadronic colliders like the LHC, accurate modeling of the strong interactions in the framework of Quantum Chromodynamic (QCD) is crucial to interpret the experimental outcomes.

The goal of this project was to push forward the frontier of precision QCD for event simulations. The key idea is to combine the three possible theoretical description (fixed-order perturbative expansion, resummed calculations and parton showers) into the same theoretical framework, in order to benefit from the advantages of each. The innovative approach proposed here improves over past efforts thanks to the inclusion of higher-logarithmic resummation, which bridges the gap between the perturbative description of hard radiation and the shower domain. This brings together three important advantages: the ability to use the best theoretical description in each region, the sizable reduction of the theoretical uncertainties gained by replacing the shower evolution with the higher-logarithmic resummation, and the ability to produce hadron-level events that can be directly interfaced to detector simulations. By going beyond the state-of-the-art, REINVENT obtained the most precise theoretical predictions for the LHC in an event generator form that allows for direct comparison to data, producing results directly usable by experimental collaborations. It also opened up new research avenues, allowing the possibility to extend the original approach to more complex final states, involving higher accuracy in the resummation and
higher multiplicities in the final state legs.
The work of REINVENT was organised into 3 different subprojects, each focusing on different
directions of improvement of the state-of-the-art for event simulation.

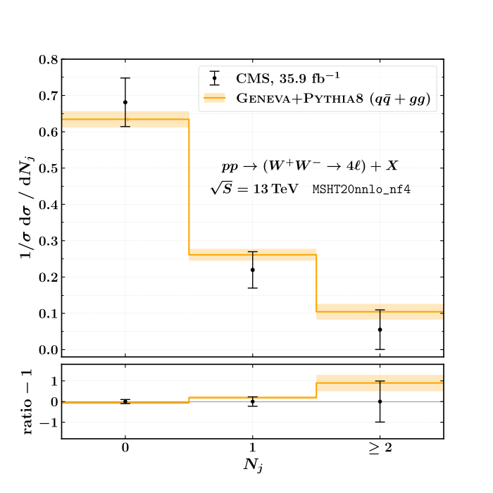
The first subproject focused on color-neutral production processes of high relevance for the LHC phenomenology. We have completed the studies for the cases of W-boson production, single and double Higgs production via gluon fusion, HiggsStrahlung and diboson pair production, including diphoton. This HiggsStrahlung process was not originally part of the proposal, but it was added after it was realized it was well suited for our approach and that it could be used as testing ground for a further extension of the method aiming at including also the Higgs boson decay. The diphoton pair production process was an important milestone because it delivered the first program with this level of accuracy for a genuine 2-to-2 process and was also a proof of the capability of the method to deal with processes which requires a nontrivial theoretical definition. The Higgs and diboson implementation established the method as a standard for color singlet production processes, signaling to the experimental community that the GENEVA approach was a viable alternative to other methods, delivering increased accuracy and reduced theoretical errors. For the case of the double Higgs pair production, our predictions are the only ones currently available at NNLO+PS accuracy, including the possibility to interface with different shower models.

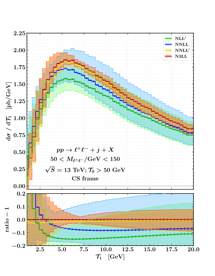
Extending the Geneva approach to deal with more complicated processes, like vector boson plus one jet or Higgs boson plus one jet production was pursued in the second subproject . When a jet is already present at the leading order the principal resolution variable must distinguish between one or more jets: one-jettiness was the natural candidate. Here we were able to achieve the one-jettiness resummation accuracy to N3LL, the first resummation at this level of accuracy for a process involving three colored light partons at an hadron collider. We also developed a phase space map that preserves the value of zero and one jettiness while performing the necessary higher-order calculationsm which is required for the very definition of events used in our approach. We are suing this map for the full implementation for vector boson or Higgs plus jet production.

The last direction was the study of alternative resolution parameters. We first focused on the vector boson transverse momentum, interfacing to the N3LL resummation in RADISH. This proved the approach independence from the resolution variable Later on we studied the NNLL’ resummation of the jet veto (transverse momentum of the hardest jet) in the SCETlib framework and interfaced it to our implementation, delivering the first jet-veto resummation at this accuracy in an event generator.
We also explored the double differential resummation of zero-jettiness and the transverse momentum of the color singlet performing the resummation up to NNLL.

In addition we extended the method to heavy-quarks, both in pairs and in association with a heavy color singlet system, obtaining a factorization theorem for zero-jettiness with heavy-quarks, which opens up the additional possibility to study processes like ttW, ttZ or ttH. We calculated their NNLO corrections and started the work that will allow their implementation into GENEVA.

The results achieved by the project have been published in scientific journals, producing many well-received papers and presented at international and national conferences and workshops.
Our team has also been in regular contact with the LHC experimental collaborations for immediate usage of the new results in experimental analyses.
We obtained new results for several of color-singlet production processes: charged-current Drell-Yan, HiggsShtrahlung, single and double Higgs production and decay, WW, ZZ, WZ and diphoton pair production. For diphoton-pair production we were the first to reach this level of accuracy. Similar results for diboson and di-higgs pair production were achieved in this project.
For more complicated processes involving one jet already at the leading order, we went beyond the state of the art, providing the first resummation of the one-jettiness resolution variable at the fourth logarithmic order (N3LL) . The availability of these results now paves the way for the implementation of the first-ever NNLO+PS Monte Carlo event generator for a process with a jet in the initial state. Thanks to the recent advancements in the calculation of the missing soft functions for higher-multiplicity processes, it also opens the way to the extension of the method to processes involving two jets at the Born level, like di-jet production or any associated production of a Higgs or a vector boson plus two jets.
atlas-higgs-pt.png
tau1exact-cs-tau0-g-50-peak-resummed.png
geneva-vs-cms-ptz-normalised.png
cms-jetmult.png
My booklet 0 0