Skip to main content
Go to the home page of the European Commission (opens in new window)
English English
CORDIS - EU research results
CORDIS

Simulation in multiscale physical and biological systems

Periodic Reporting for period 2 - STIMULATE (Simulation in multiscale physical and biological systems)

Reporting period: 2020-06-01 to 2022-11-30

Simulation alongside theory and experiment is nowadays considered an integral part of scientific discovery. As computation speeds up and new technologies and instruments improve, data generation in all fields of science is rapidly increasing. As a consequence, researchers face new challenges: Data collection exceeds by far the capacity to validate, analyse, visualize, store, and curate the information contained. Additionally, traditional, single-scale, macroscopic models are becoming inadequate for the accuracy requirements of modern physical, biological and engineering applications that involve multiscale phenomena occurring over vastly different scales. Scientific and engineering disciplines have been at the forefront of applying simulation to study complex phenomena that in many cases involve multiple scales, such as turbulence and neurogenerative diseases. These range from exascale simulations in lattice QCD, where high-throughput reduction and analysis capabilities of the large volumes of data generated is needed for extracting information, to simulations at the molecular and neuronal networks level of the neuronal dysfunction associated with Parkinson’s disease (PD), which is the second most common, fatal neurodegenerative disease.

The overall goal of the project was to deliver an interdisciplinary EJD program in computational science, which educates students to best address the challenges posed by exascale computing and data-intensive science, producing computational science professionals strategically positioned to become leaders in both academia and industry. The main objectives of the program were:
1) Deliver an innovative educational program, which intertwines exascale computing and data methodologies with specific applications.
2) Design innovative interdisciplinary research projects that use simulation and data science a their underlying methodology. Every PhD research project involves close co-supervision by experts from three degree-awarding institutions bringing complementary expertise beyond that of a single institution.
3) Bridge the gap between academia and industry.
4) Contribute to the transformative transition in using simulation and data science to drive scientific breakthroughs across the fields of CFD, Computational Biology and lattice QCD. The ESRs were exposed to new methodologies and approaches driven by novel compute and data technologies and algorithms, learned to communicate with scientists across disciplines and in industry and shared scientific tools. They are part of a new generation of computational scientists in Europe who brought new insights in these fields by utilising extreme computing and data.
5) Promote pan-European doctoral structures in a multi-disciplinary field of research leveraging excellence across academic institutions in Europe. Delivering a multi-disciplinary curriculum and research program by pooling excellence across Europe created an optimal training platform, and retained talent in Europe as well as helped to spread competencies across Europe, strengthening its research capacity.
6) Disseminate the capabilities enabled by simulation and data science and the results of the project. A rich dissemination program was implemented by all participants of the project targeting students, researchers at academia and industry, and the general public.
Considerably improved implementation of the Jacobi-Davidson eigensolver in QUDA, both from the computational-performance and algorithmic-scalability points of view.

Strategies aimed at reducing aggregation are explored for developing effective drug candidates against neurodegeneration.

Developed an experimental assay to assess binding of different ligands/drugs to the NEET proteins.

Systematic investigation of the instantonic properties of a class of shell models for turbulence.

Systematic investigation on Nudging for Rayleigh Benard two dimensional turbulence, in order to test data-assimilation techniques in coupled PDEs systems.

Computation of the topological charge using different lattice definitions.

Production of correlation functions in Lattice QCD observables

Computation of the neutron Electric Dipole Moment (nEDM).

Investigation of results coming from three different Machine Learning algorithms used to train computers to recognise patterns between high-dimensional data samples:
1. Linear Regression
2. Gradient Boosted Decision Trees
3. Neural Networks

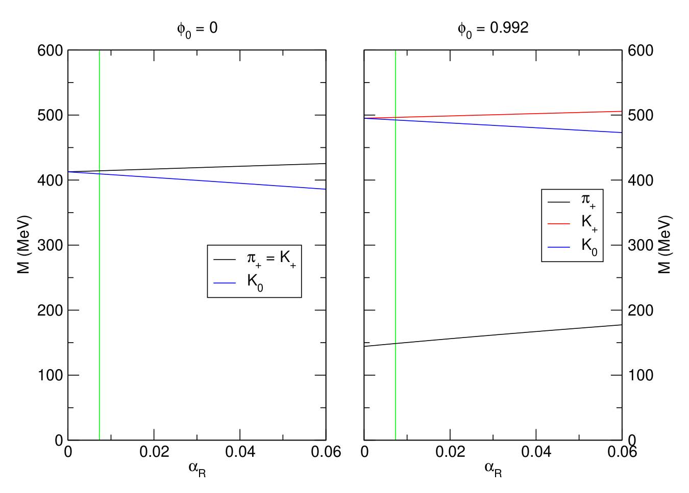
Calculation of masses of charged hadrons and leptonic decay rates including QED.
Many established research groups are currently expanding into computational and data-intensive applications and the consortium brings together experts in both computational and data aspects as well as expert knowledge in a specific scientific field, often a rare combination. This exposure gave the fellows a direct competitive advantage on the postdoctoral level. In particular, new data methodologies needed in these fields of research due to the unprecedented growth of data rate. Exascale simulation in Physics and CFD are already producing large data sets that need to be analysed to further guide the simulation strategies. Deep learning is a new approach in these fields and this project trained the fellows to explore these new methodologies that can revolutionise our approaches in these areas.

Understanding of HPC technologies and data analytics are highly sought skills in industry. The exposure to world-class computational facilities provides cutting-edge know-how in both simulation and cognitive computing to the ESRs are well-positioned to lead future developments and take industrial initiatives. Training in the design of appropriate algorithms for new computer architectures and management of the large amount of data provided the knowhow sought by a broad spectrum of potential employers. The integration of companies in the training program provided the ESRs an exposure to the way industrial development takes place, equipped them with additional competitive skills. The result were more versatile computational scientists with excellent career opportunities in the non-academic sector.

The direct exposure of ESRs to the commercial world helped them to overcome the barrier that separates academia and industry. It equipped them with managerial skills such as project and time management as well as developed entrepreneurship that allowed them to understand opportunities for the commercialisation of knowledge. Especially the secondments and the resulted exposure to industrial practice, supplemented with lectures in the network-wide courses, was an important enhancement of transferable skills. Current scientific training often exposes young scientists only at the post-doctoral level or later with these key skills, which is often too late to impact the career development significantly. The program continued the spirit of Marie Sklodowska-Curie actions and increased the mobility of European citizens. The mobility component of the program enhanced cooperation across Europe and harmonised educational and research practices and expanded contacts with industries. It also contributed to a more balanced distribution of wealth by encouraging innovation and development across the EU coupling it to Israel, an associate member country with a thriving innovation activity.
Light meson masses as functions of the renormalised fine-structure constant
Scheme showing the general method for replica-exchange based methods
My booklet 0 0