Skip to main content
Go to the home page of the European Commission (opens in new window)
English English
CORDIS - EU research results
CORDIS

Theory for A Unified descRiption of nUclear Structure

Periodic Reporting for period 1 - TAURUS (Theory for A Unified descRiption of nUclear Structure)

Reporting period: 2019-12-02 to 2021-12-01

The atomic nucleus is a prime example of a strongly correlated quantal system within which the nucleons (i.e. protons and neutrons) interact through a complex combination of forces. Primarily, the properties of atomic nuclei are the results of the interplay between the short-range attractive nuclear strong force among all nucleons and the long-range repulsive Coulomb interaction among protons. In addition, the weak interaction comes at play in radioactive beta decay processes and in the interaction of nuclei with elementary particles such as the neutrinos. As a result of this unique set of interactions, atomic nuclei exhibit an extraordinary variety of emergent phenomenon: rotational and vibrational modes, shape isomerism, spontaneous fission, or halo nuclei, just to name a few. To understand this diverse zoology of phenomena in a unified framework is one of the main ambitions of modern nuclear physics. Unfortunately, unveiling the properties of the nucleus is a difficult task mainly because of two interrelated problems. As previously illustrated, the interaction between the nucleons within the nucleus is rather intricate and not fully understood from first principles. The other complication arises from the number of particles in the nucleus that is normally too large to solve exactly the problem but is not large enough to describe the system using statistical mechanics. Therefore, one of the keys to the theoretical description of the atomic nucleus is the design and implementation of efficient quantum many-body techniques.

The main scientific goal of the present action is to provide a microscopic, universal and reliable theoretical description of the atomic nucleus. The main practical objectives of the project are:
1. The development of theoretical tools that combine state-of-the-art first-principles (ab-initio) nuclear interactions with the two most widely used quantum many-body techniques in Nuclear Physics, namely, the interacting shell model and the self-consistent mean-field and beyond-mean-field approximations.
2. The development of state-of-the-art software and the use of high performance computing to implement and use these techniques to produce valuable theoretical data that can be useful to nuclear experimentalists and astrophysicists.
The work performed during the project consisted in:
- the development of numerical codes to perform sophisticated variational calculations. The codes were written in Fortran 2008 and included an OpenMP+MPI parallel implementation.
- the realization of calculations for nuclei of interest using large-scale computer clusters.
- the writing of scientific publications to disseminate our results.
- giving oral presentations (in-person and online) in an academic setting to disseminate our results.
- reading the scientific literature on the topics of interest (e.g. ab initio theory)


Overview of the results:
- publication of 5 articles in peer-review journals, and submission of 3 others (currently under revision).
- publication of the numerical code TAURUS_vap (https://github.com/project-taurus(opens in new window)).
- 2 grants for computational time (total: 2.8M CPU hours) in the Spanish computation network (FI-2021-2-0013, FI-2021-3-0004).
- systematic calculations in the sd shell and their comparison to the exact results obtained by diagonalization.
- calculations of Neon isotopes with a chiral interaction.
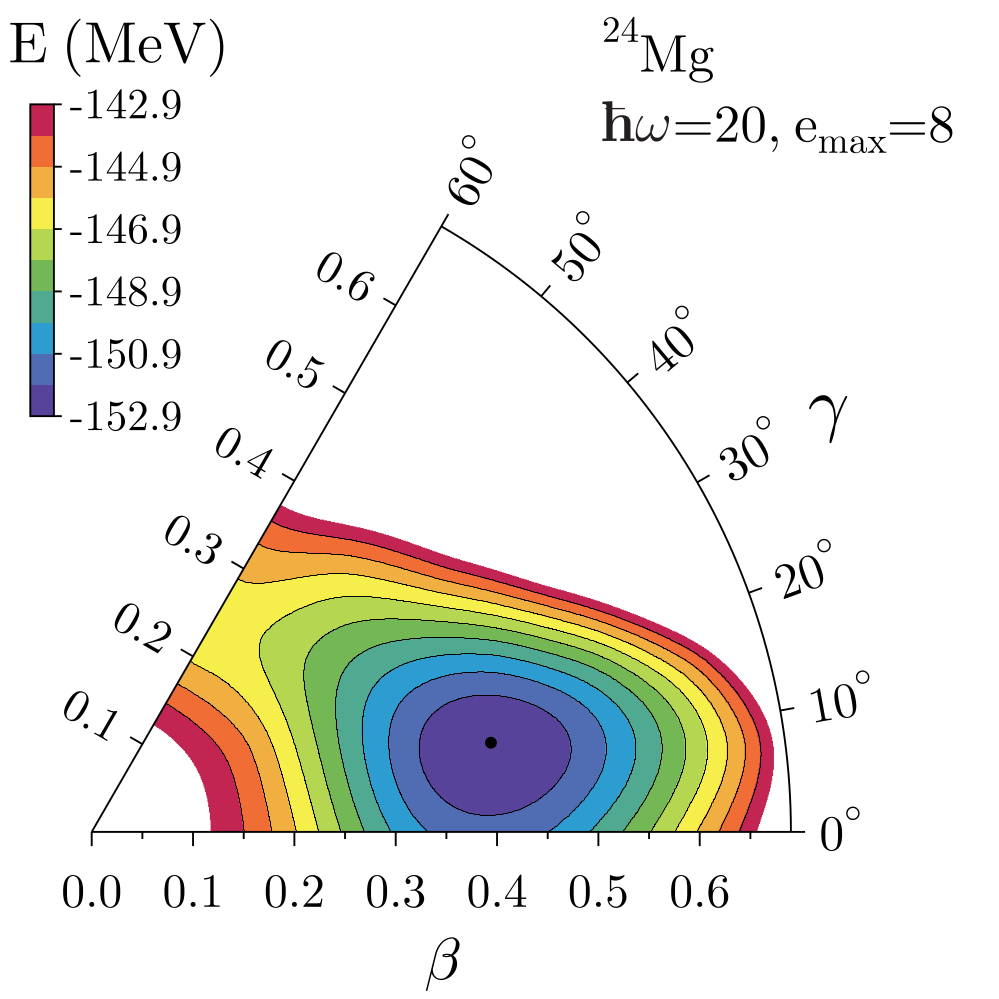
- calculations of Magnesium isotopes with a chiral interaction.
- writing of a pedagogical scientific article explaining the method of symmetry projection.
- development of a new method to build a two-body approximation to the three-body nuclear interaction.
- development of a new method to select the reference states in the configuration mixing calculations of the nuclear matrix element for the neutrinoless double beta decay.
The numerical codes developed have unique capabilities as they can be used to perform:
- very general variational calculations that include the breaking and restoration of the most important symmetries at play in the atomic nucleus.
- calculations in a valence space or in the full space (no core).
- calculations with phenomenological and ab initio nuclear interactions.

The work performed on the inclusion of collective correlations (e.g. the deformation of the nuclei) in ab initio calculations is at the forefront of the research activity in nuclear structure theory. In addition, the development of advanced valence-space variational methods will allow us to perform calculations beyond the reach of traditional methods (e.g. the interacting shell model).
Energy surface for the nucleus Mg24 computed with a chiral interaction
Logo of our newly developed numerical suite
Systematic of the ground-state energies in the sd shell
Exploration of the symmetry-breaking energy surface in the Projected Generator Method
My booklet 0 0