Skip to main content
Go to the home page of the European Commission (opens in new window)
English English
CORDIS - EU research results
CORDIS

Ferroelectric Acousto-optic Synaptic Technology (FAST)

Periodic Reporting for period 1 - FAST (Ferroelectric Acousto-optic Synaptic Technology (FAST))

Reporting period: 2020-08-01 to 2022-07-31

The exponential increase in mobile phones, web content, the internet of things (IoT), and artificial intelligence-based technologies have enthused the scientific community to develop fast and energy-efficient devices. Technological bottlenecks in existing von-Newman computing systems have encouraged to consider alternative technology options. One of the prominent ideas is to develop brain-inspired hardware/ neuromorphic devices. Such devices operate at very low energies by mimicking the functioning of the basic building blocks of a human brain – neurons, and synapses. Developing such devices need a fundamental understanding of device materials and their behavior which could be fitted to mathematical models to perform real-life computing tasks such as image and speech processing. To address this, the proposed action explores a particular class of inorganic materials known as ferroelectric (special class of materials that have the ability to respond to mechanical stress, temperature change, applied electric field, and even light exposure). The action utilised mechano-electro-optic interactions in these materials for developing acousto-optic modulators. Such devices could act as synapses that will split the information in an optical signal into multiple channels and recombine them at the receiver end. The ultimate goal is to demonstrate how these devices could be used in neurosynaptic networks to perform complex computing tasks. The interdisciplinary research project will unite the expertise in materials science, electronics, photonics, and on-chip devices under one roof. A positive outcome of this action will lead to a breakthrough in the development of next-generation computing devices and associated fundamental science.
The project was executed through 6 work packages. WP1 covers thin-film growth and optimization which was carried out through the support of the co-hosts at Lumiphase corporation. Additionally, the fellow learned and revived a direct liquid injection chemical vapor deposition tool at KU Leuven. WP1 resulted in one journal article published in Advanced Phonics Research. WP2 covers device designs. The fellow performed all calculations for designs and developed skills for device fabrication. The fellow was trained at KU Leuven’s clean room and E-beam lithography tool. The fellow also learned software (named - KLayout) for designing lithography masks. The clean room training and knowledge of Klayout software are in high demand for semiconductor foundries and research labs. WP3 includes circuit integration and realization of synaptic behavior. It resulted in another journal article. WP4-5 covers the dissemination and management of the fellowship. Monthly project progress meetings were conducted with the host and associated collaborators. In addition to these, the fellow presented his progress/findings through group meetings. As a part of science awareness and communication activities, the fellow traveled across the world for attending conferences and giving scientific seminars and invited lectures. The fellow presented his research on 14 occasions at different institutes and through distinct mediums (both in-person and online). Apart from this, the fellow attended the MSCA alumni association’s general body meeting in Lisbon in the year 2022. WP 6 covers the secondment which resulted in 2 published journal articles including one invited review in Advanced Materials. 2 other journal articles are submitted for publication, and one is still under preparation. During the tenure of the fellowship, the researcher won the MSCA post-doctoral fellowship and made it to the final round of the prestigious NREL Director’s fellowship. The fellowship overall increased the visibility of the researcher in the neuromorphic computing and devices community. This is also testified by the fact that now the researcher is leading a special issue on ‘Nanoelectronic Devices for Analog Hardware’ for publication in the open-access journal Frontiers in Nanotechnology.
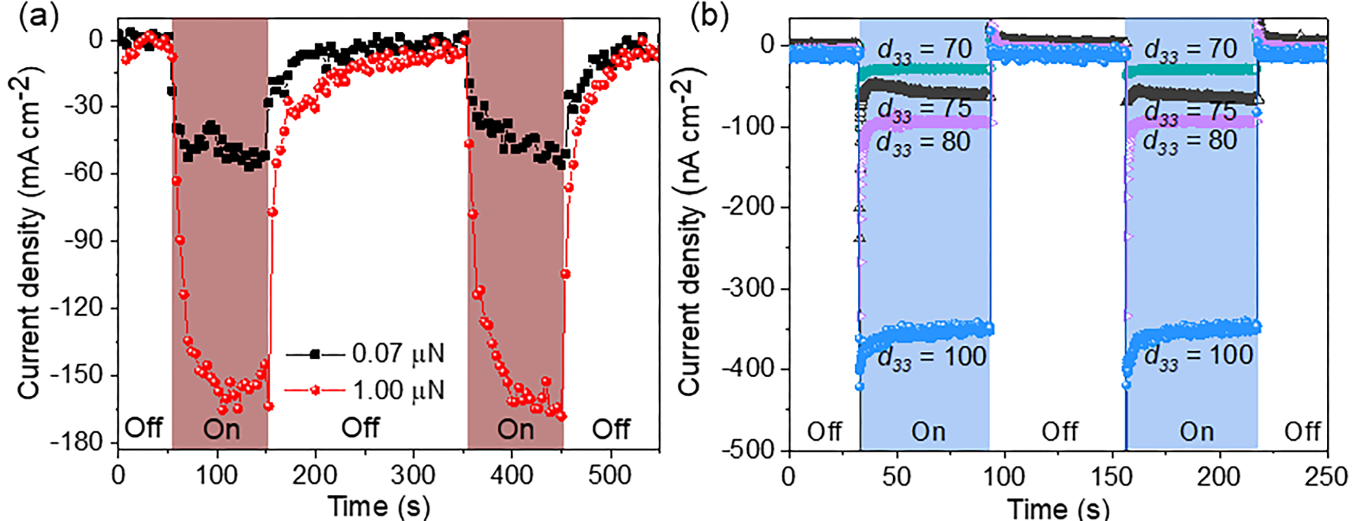
The fellowship resulted in the demonstration of the cumulative effect of mechanical and light exposure on a ferroelectric material. It was demonstrated that in an optically active ferroelectric, both light exposure and applied mechanical stress could be used to obtain an electrical output (See Figure 1 for set-up). It was discovered that the mechanical load helps in achieving an improved photo response (See Figure 2 for comparison). This was attributed to nanoscale polarization switching of the regions of similar polarizations (known as domains). It was anticipated that the phenomena could also work in an opposite manner where optical switching could help in modulating the state of polarization and thus resulting in mechanical stress-induced enhanced electrical output in a ferroelectric. However, not many studies focus on light passing through the sample while it is exposed to mechanical stress which is the fundamental principle of the acousto-optic modulators. Acousto-optic modulators exploit surface acoustic waves generated by using high-frequency operated inter-digited transducers (IDT). I performed calculations for various IDT designs based on BaTiO3 thin films and single crystals. However, the difficulty in device fabrication due to the charging issue while performing electron-beam lithography motivated us to modify the design and go for photolithography. This helped in learning that science has its challenges, and one should be prepared to consider alternatives until the technological bottlenecks are surpassed. Parallel to this, the action investigated ferroelectric thin films for synaptic devices. Surprisingly, significant similarities were found between structurally distinct films of the same material which was modeled using a two-stage nucleation-limited switching (2S NLS) model (Figure 3). Finally, information on potential halide perovskite materials for neuromorphic computing, memory, and optical switching applications was compiled and disseminated in the form of a review article. The article talked about large optical cross-sections, high photoconductance contrast, large carrier diffusion lengths, and mixed electronic/ionic transport mechanisms which makes this class of materials attractive for memory elements and neuromorphic devices.
Overall, the project has resulted in six journal articles (3 published including one review article, 2 submitted for publication, and 1 in the final stage of preparation) and over 14 conferences, meetings, seminars, and invited talks across the globe. These have impacted scientific progress in the field. Moreover, all disseminated knowledge through publications, seminars, and talks will guide young researchers interested in working on neuromorphic computing devices. Moreover, the talks and seminars (both online and on-site) were made accessible to the general public and undergraduate as well as school-going students in particular. The motivation behind the fellowship project and its societal impact has surely triggered scientific curiosity among the audience with an expectation to encourage them to pursue science as fun with responsibility.
Figure 2: (a) Nanoscale photocurrent measurement and (b) Macroscopic photocurrent measurement
Figure 1: Showing set up for mechsnical stress dependent AFM measurements.
Fig 3: (a) Original & (b) 2S-NLS fit of ∆P vs pulse duration, (c) tw values, (d) Merz’s law fitting
My booklet 0 0