Skip to main content
Go to the home page of the European Commission (opens in new window)
English English
CORDIS - EU research results
CORDIS

Motives beyond A1-homotopy invariance

Periodic Reporting for period 1 - MbHI (Motives beyond A1-homotopy invariance)

Reporting period: 2020-10-01 to 2022-09-30

Over the last couple of decades, the A1-local motivic homotopy theory initiated by Voevodsky has been creating quite a stir among the mathematics community. Combining components of algebra and topology, it studies algebraic varieties from a homotopy theoretic viewpoint. However, there is a fundamental issue in Voevodsky’s theory, namely, it depends on A1-homotopy theory and thus neglects infinitesimal quantity, which is essential for algebraic and arithmetic geometry. The objective of this project is to overcome this gap, that is, to develop a motivic homotopy theory beyond A1-homotopy invariance.
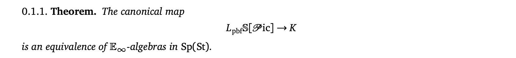
The first and most essential difficulty in carrying out the project’s objectives was to construct a “correct” category of motives. One of our main achievements is the construction of a nice category MSp with promising evidence that it is correct, where MSp stands for “motivic spectra”. All relevant cohomology theories in algebraic geometry, including étale cohomology, crystalline cohomology, syntomic cohomology, and algebraic K-theory, are representable in MSp, and thus it provides a unified way to study those cohomology theories, realizing the philosophy of motives. Then we have obtained several useful equivalences in MSp, in particular, an equivalence of the n-th grassmannian and the stack of rank n vector bundles is proved. Furthermore, it was applied to algebraic K-theory, establishing a beautiful new characterization of algebraic K-theory, namely, it is universal among Zariski sheaves of spectra which admit an action of the Picard stack and satisfy projective bundle formula.
The results described above are certainly progress beyond the state of the art and open a new gateway to motivic homotopy theory.
Universality of K-theory
My booklet 0 0