Skip to main content
Go to the home page of the European Commission (opens in new window)
English English
CORDIS - EU research results
CORDIS

Effective Equations for Fermionic Systems

Periodic Reporting for period 1 - EFFECT (Effective Equations for Fermionic Systems)

Reporting period: 2021-11-01 to 2023-10-31

Quantum mechanics is a fundamental theory in physics that accurately predicts the behaviour of nature at small scales in numerous situations. Within the framework of quantum mechanics, particles are classified based on their spin. Fermions, particles with half-odd-integer spin, are prohibited from occupying the same quantum state by the Pauli-exclusion principle, whereas this constraint does not apply to bosons, particles with integer spin, resulting in distinct physical phenomena. The time evolution of a quantum system is governed by the Schrödinger equation, whose analysis becomes intricate in the presence of many particles. Consequently, simpler equations, although less precise, are employed to approximate the system's evolution for ease of analysis. In physics, such effective theories are heuristically derived, guided by physical intuition. A mathematical study of the emergence of effective theories aids in quantifying the approximation errors and enhances the understanding of the mechanisms facilitating a simplified system description.
The project aims to enhance comprehension regarding the non-equilibrium dynamics of large fermionic systems and their interaction with the quantized electromagnetic field through the mathematical rigorous derivation of effective equations.

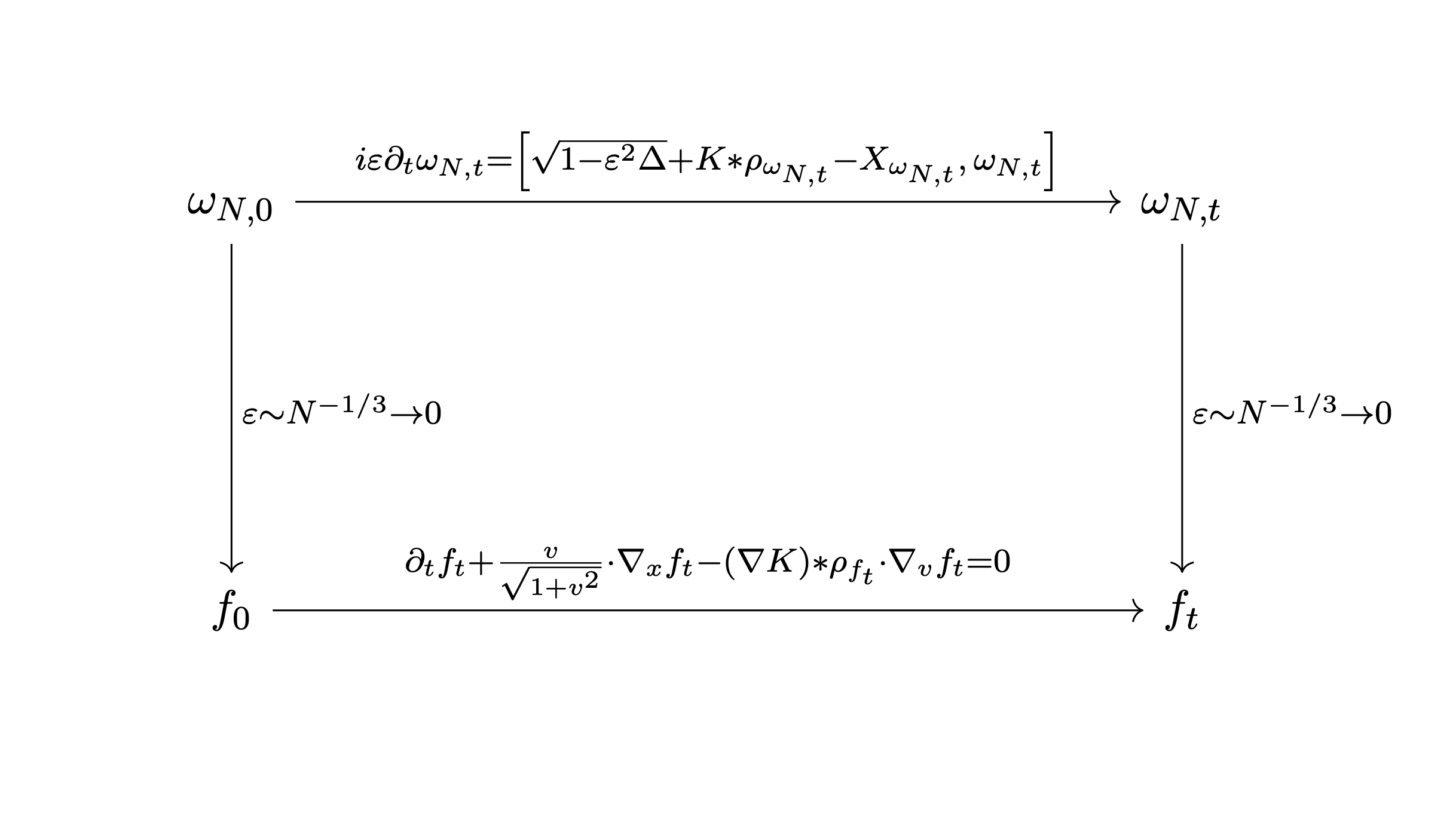
The primary focus of the project has been on analysing the semiclassical limits of two fermionic mean-field equations. These equations heuristically emerge from the many-body Schrödinger equation when the number of fermions is large. The first one is the semi-relativistic Hartree-Fock equations, describing the time evolution of fermions with relativistic dispersion law in a many-fermion mean-field limit, coupled to a semiclassical limit. As the particle number increases, quantum effects gradually diminish, allowing the approximation of the system's state by a phase space function satisfying the relativistic Vlasov equation. Considering a similar scaling limit for non-relativistic fermions interacting with the quantized electromagnetic field, the Maxwell-Schrödinger equations for extended charges heuristically emerge as a mean-field description. The project proves that these equations can be approximated by the Vlasov-Maxwell equations when the number of fermions is large. While the derivation of the Maxwell-Schrödinger equations from non-relativistic quantum electrodynamics has been investigated, its completion remains work in progress. In addition to the main results, several insights into bosonic systems have been obtained.
Within the project, the semiclassical limits of mean-field equations for fermions with relativistic dispersion and for non-relativistic fermions interacting with their self-generated electromagnetic field have been investigated. Additionally, effective dynamics for bosons interacting with quantum fields have been derived and equilibrium properties of Bose gases in the mean-field and nonlinear Schrödinger regime have been investigated. In total this resulted in eight articles, which have either been published or submitted to peer-reviewed scientific journals. The articles are available on the arXiv.org repository, and their findings have been presented in talks at conferences and seminars.

The work [arXiv:2203.03031] rigorously derives the relativistic Vlasov equation with singular interactions from the semi-relativistic Hatree-Fock equations. This extends prior results with explicit rate of convergence to singular interactions, including the physical most relevant case of the Coulomb potential.

In [arXiv:2308.16074] a rigorous derivation of the Vlasov-Maxwell equations from the Maxwell-Schrödinger equations with extended charges in the semiclassical limit is provided.

The article [arXiv:2203.16368] generalizes existing results about the derivation of the Maxwell-Schrödinger equations from the bosonic Pauli-Fierz Hamiltonian by proving that the coherence of the quantized electromagnetic field also holds for soft photons with small energies.

The work [arXiv:2207.01598] is concerned with the derivation of the Landau-Pekar equations from the Fröhlich model in a many-boson mean-field limit and the classification of fluctuations around the effective dynamics using Bogoliubov theory.

In [arXiv:2305.06722] the dynamics of the renormalized Nelson model in a many-body mean-field limit is considered. A norm approximation is achieved by the construction of a renormalized Bogoliubov evolution which describes the quantum fluctuation around the mean-field equations of the Nelson Hamiltonian.

The article [arXiv:2307.13115] presents an asymptotic expansion for the energy to remove one particle from a gas of N weakly interacting bosons in the ground state.

In [2304.12910] recent results about the spectrum and dynamics of weakly interacting Bose gases in the mean-field regime are reviewed.

The article [arXiv:2309.12233] proves the next order correction to Bogoliubov theory for the ground state and ground state energy of many bosons on the three-dimensional unit torus in the nonlinear Schrödinger regime.
The presented works represent progress beyond the state of the art, as the results are either new or improve existing findings in the literature. For their proofs, it was necessary to combine existing mathematical methods or develop new techniques. In the following a couple of important observations are outlined.

In [arXiv:2203.03031] recent techniques developed for the derivation of the non-relativistic Vlasov equation were adapted to the relativistic setting, successfully addressing challenges related to the well-posedness theory and propagation of regularity for the relativistic Vlasov equation.
The main innovation in [arXiv:2308.16074] compared to related results, lies in sufficiently controlling the interaction between the electrons and the electromagnetic field. Among other challenges, this required estimating the distance between electron states in a Sobolev trace norm with semiclassical parameter and the introduction of a measure to control the distance between the vector potentials appearing in the considered systems.
To obtain the norm approximation for the time evolved many-body state under the Fröhlich dynamics in [arXiv:2207.01598] it was necessary to control the kinetic energy of the particles which are not in the condensate state. This aspect was not covered by an existing result that derived the Landau-Pekar equations from the Fröhlich dynamics in the many-body mean-field limit at the level of reduced density matrices. Controlling the kinetic energy and relaxing assumptions on the many-body state were achieved through different energy estimates, which had previously only been considered for systems with a direct interaction potential.
The main challenges in proving the results of [arXiv:2309.12233] stem from the singular interaction requiring the construction of a renormalized Bogoliubov theory and an asymptotic analysis of a unitary dressing transformation that implements the renormalization on the many-body level.

It seems promising that the developed techniques will prove useful for analysing other systems, in particular for the derivation of the (fermionic) Maxwell-Schrödinger equations from the Pauli-Fierz Hamiltonian.
Derivation of the relativistic Vlasov equation
My booklet 0 0