Skip to main content
Aller à la page d’accueil de la Commission européenne (s’ouvre dans une nouvelle fenêtre)
français français
CORDIS - Résultats de la recherche de l’UE
CORDIS

Holography in Motion: combining the AdS/CFT correspondence with advanced numerical techniques to study strongly interacting systems out of equilibrium.

Periodic Reporting for period 1 - HOLOMAT (Holography in Motion: combining the AdS/CFT correspondence with advanced numerical techniques to study strongly interacting systems out of equilibrium.)

Période du rapport: 2021-09-01 au 2023-08-31

1. Problem/Issue Being Addressed:
This research addresses the elusive nature of strange metals, which represent a unique and puzzling state of matter that conventional theories cannot fully explain. They are characterized by unusual electrical conductivity and lack of a well-defined description in terms of the transport of particles or particle-like excitations (quasi-particles). Despite decades of research, the fundamental mechanisms underlying the behavior of strange metals remain poorly understood.

2. Importance for Society:

a. Fundamental Physics: Strange metals challenge the existing paradigms of condensed matter physics, offering a window into novel and exotic quantum states of matter. Solving the mystery of strange metals could lead to groundbreaking discoveries in our understanding of quantum physics and could pave the way for new theoretical frameworks.

b. Technological Implications: Strange metals have potential applications in various technologies, such as high-temperature superconductors and quantum computing. Unlocking the secrets of strange metals may lead to the development of advanced materials and technologies with significant societal benefits.

c. Energy and Sustainability: Improved understanding of the thermoelectric properties of strange metals can have practical applications in energy conversion and harvesting. Enhanced thermoelectric materials could contribute to more efficient and sustainable energy utilization, reducing the environmental impact of energy production.

d. Educational and Inspirational Value: Investigating enigmatic problems like strange metals can inspire the next generation of scientists and researchers. It demonstrates the ongoing quest for knowledge and the power of scientific inquiry.

3. Overall Objectives:

a. Numerical Simulation: Utilize advanced numerical techniques to simulate the behavior of strange metals. This involved solving complex mathematical equations and running extensive computer simulations.

b. Thermo-Electric Transport Coefficients: Calculate and analyze the thermo-electric transport coefficients, which provide critical information about how these materials conduct heat and electricity under various conditions.

c. Temperature and Lattice Strength Dependencies: Investigate how the transport coefficients change as the system transitions between different temperature regimes. Additionally, study the impact of lattice strength on the behavior of strange metals to gain insights into their properties under different structural conditions.

d. Theoretical Insights: Develop theoretical frameworks and models that can explain the observed phenomena and provide a foundation for further research.

e. Dissemination of Findings: Share the research findings through scientific publications and presentations at conferences to contribute to the collective knowledge in the field of condensed matter physics and inspire further investigations.
The work performed was described in the Overall Objectives in the previous entry.

Main Results Achieved:

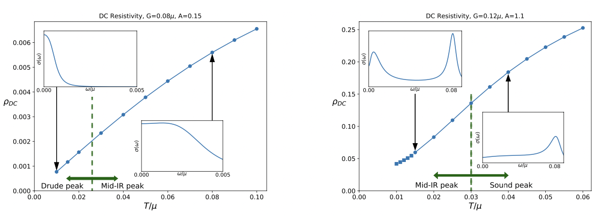
1. We found that when passing a constant electrical current (direct current, or DC) through the system, the resistivity of our model exhibited a linear dependence on temperature at low temperatures. This reproduces the behavior observed in real high-temperature cuprate strange metals.

2. We discovered that when passing an oscillating electrical current (alternating current, or AC) through the system, the conductivity of strange metals transitions from a standard metallic form to a form characterized by a resonance at intermediate frequencies (the so-called mid-infrared peak), similar to experimental observations in cuprate strange metals. We illuminated the role of hydrodynamics in the presence of a lattice (so-called Umklapp hydrodynamics) in the dissipation mechanism at play in strange metals.

3. In the presence of a strong lattice potential, we observed that the thermal diffusivity remained unaffected by the breaking of translations by the lattice, and strong chaotic scattering processes generate dissipation on a time-scale that approaches a fundamental limit of nature (Planckian dissipation).

4. We discovered anomalous behavior between the electrical and thermal diffusivities that led us to propose distinctions in chaos properties between electrically charged and neutral operators.

Exploitation and Dissemination:

The results of our research have been disseminated through our arXiv preprint manuscript, which has bee published in the peer-reviewed journal “Physical Review B”. These were further disseminated through presentations at conferences and workshops by the supervisor Professor Koenraad Schalm, the Ph.D. student Nicolas Chagnet, and myself. This includes my presentation at the National Seminar on Theoretical High Energy Physics held at CWI/Nikhef this year. We have contributed to the collective knowledge in this field, facilitating discussions and further investigations.

The computer code used for this work, developed chiefly by the former Ph.D. student, Floris Balm, was made publicly available on GitHub for general use. There is no dedicated website for this specific to this project. However, we do have a group website and the link given below is to the page that describes the background information for this work.
Our work has pushed the boundaries of our understanding of strange metals by providing a theoretical framework that accounts for their intriguing properties, including the linear-in-temperature resistivity across enormous ranges of temperature and multiple regimes characterized by distinct dissipation mechanisms.

The code developed to perform this work also represents significant progress beyond the state-of-the-art code used in holography. It is the first to explicitly include the effects of a lattice or a spatially periodic potential.

Expected Results Until the End of the Project:

A significant piece of work is still in progress despite the end date of the Marie Curie project period having already been passed. This work performs the same investigations in a constant external magnetic field. The key additional phenomena in this case are the Hall effects, whereby thermo-electric currents in one direction excite so-called Hall currents in the orthogonal direction. We anticipate further refining our theoretical models and expanding our simulations to explore additional aspects of strange metals. This may include a deeper investigation into the distinctions between charged and neutral operators and their implications for the linear-in-T DC-resistivity.

Potential Impacts:

The socio-economic impact of our research lies in its potential to advance our understanding of quantum materials, potentially leading to the development of new technologies, such as high-temperature superconductors and more efficient thermoelectric materials. These advancements could have wide-ranging implications for energy production, sustainability, and technological innovation.

The wider societal implications include the inspiration of future scientists and researchers, as our work demonstrates the continued quest for knowledge and the power of scientific inquiry. Additionally, a deeper understanding of strange metals may contribute to a broader understanding of the fundamental principles governing the behavior of matter at the quantum level, which could have far-reaching consequences for science and technology in the long term.
Plot of Direct-Current Resistivity versus Temperature showing broad-range linear behavior
Mon livret 0 0