Skip to main content
Go to the home page of the European Commission (opens in new window)
English English
CORDIS - EU research results
CORDIS

Semiconductor crystal phase engineering: new platforms for future photonics

Periodic Reporting for period 2 - SATORI (Semiconductor crystal phase engineering: new platforms for future photonics)

Reporting period: 2023-10-04 to 2024-10-03

Excepting III-N compounds, the III-V and group-IV semiconductors that underpin contemporary optoelectronics crystallise in a cubic structure. Advances in semiconductor growth enable growth of hexagonal phases of these materials, and allow fabrication of crystal phase heterostructures (CPHs). Changing crystal phase radically alters material properties, with crystal phase engineering (CPE) constituting a new paradigm to tailor semiconductors for practical applications. The SATORI project will employ a multi-scale approach, encompassing atomistic first principles calculations and continuum model/software development, to establish a new state of the art in theory and simulation for CPE. This platform will be applied to quantify key hexagonal phase and CPH properties, and hence to identify optimised materials and nanostructures for photonics applications. This significantly enhanced understanding of the properties and potential of CPE will provide critical insights to a burgeoning experimental community.
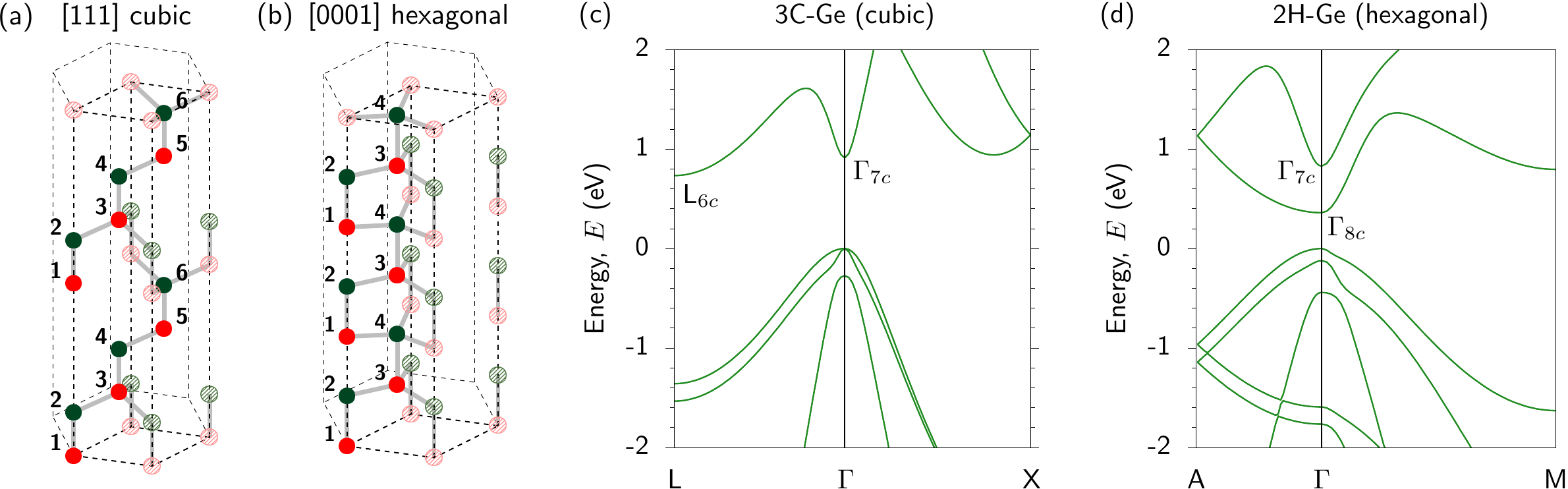
I established first principles calculations, based on density functional theory (DFT), of the structural and electronic properties of the metastable hexagonal lonsdaleite phases of the group-IV semiconductors Si and Ge, and the wurtzite phases of the III-V semiconductors (Al,Ga,In)(P,As,Sb). In addition to the lattice parameters and electronic band structures, DFT calculations of elastic moduli, band edge deformation potentials, band offsets and spontaneous polarisation were also performed.

Based on the DFT-calculated band structures, I established a 10-band k.p Hamiltonian for hexagonal semiconductors. This extends the basis of states included in the conventional 8-band Hamiltonian for wurtzite semiconductors via inclusion of the "pseudo-direct" conduction band, which originates via back-folding of the L-point CB minimum from the conventional cubic (diamond or zinc blende) phase, giving rise to a direct fundamental band gap in Ge and GaP. Parametrisation procedure directly from DFT calculations reproduces the optical matrix elements and selection rules predicted by DFT calculations. This procedure has been applied to several III-V semiconductors, providing k.p parameters suitable for computationally inexpensive analysis of their electronic and optical properties.

I have implemented predictive calculations of spontaneous emission spectra and the radiative recombination coefficient B. Application to lonsdaleite Ge has produced new insights into the nature of direct-gap optical emission, which has driven a recent rapid growth of research interest in this emerging material system. Calculated spontaneous emission corroborates experiment, showing that the observed optical emission from lonsdaleite Ge is associated with a direct fundamental band gap. Prediction of the dependence of the spontaneous emission on carrier density explains recent experimental data pertaining to stimulated emission being associated with a second, higher-energy emission peak. Achieving stimulated emission is a key step towards demonstration of laser action. My calculations provide quantitative understanding of the observed optical emission. Calculated B coefficient for lonsdaleite Ge is approximately three orders of magnitude lower than that inferred based on initial analysis. This demonstrates that the assumption of purely radiative recombination in lonsdaleite Ge nanowires is unlikely, suggesting that non-radiative recombination plays a significant role. I showed that application of strain to lonsdaleite Ge can enhance the B coefficient by over two orders of magnitude, which promises efficient mid-infrared emission. Application of this calculational approach to III-V semiconductors allowed comparative analysis of light emission in zinc blende vs. wurtzite semiconductors, quantifying differences in radiative recombination between crystal phases.

I established DFT calculations for crystal phase heterostructures, a class of quantum-confined heterostructures formed by varying the crystal structure in a single material. Quantum confinement is generated by changes in the electronic structure between the different crystal phases. For several III-V materials, crystal phase heterostructures have been predicted to possess type-II band offsets, spatially separating electrons and holes and reducing the radiative recombination rate. My calculations for Ge confirm the presence of type-I band offsets, with electrons and holes having high spatial overlap and a radiative recombination rate that can be up to an order of magnitude larger than in unstrained bulk lonsdaleite Ge. This identifies nanostructuring via crystal phase engineering as an interesting route for the development of Si-compatible light-emitting materials.
Several sets of material parameters for hexagonal have been calculated using hybrid functional DFT for the first time. Hybrid functionals provide, in the context of DFT, state-of-the-art accuracy for the prediction of semiconductor properties. This provides a comprehensive library of material parameters, to support interpretation of experiment, and for input to calculations of optical and electrical properties that underpin proposed device applications.

Several versatile pieces of material agnostic software have been implemented. Codes implementing predictive first principles carrier recombination rate calculations, and calculations of the properties of new classes of semiconductor nanostructures, are being applied to analyse metastable hexagonal semiconductors and crystal phase heterostructures. These codes can be applied to a wide range of materials in the future. This will be exploited during and beyond this project, to inform the optimisation of emerging light emitting/absorbing semiconductors. These simulation capabilities will therefore support experimental and engineering efforts to develop new semiconductors, for applications including energy-efficient lighting and optical communications, sensing, and improved light absorbers for solar energy generation.

In the first instance, generated insights into the nature and ability to engineer light emission from hexagonal semiconductors is directly informing ongoing experimental research to develop these materials for photonics applications. While the nature of this project is theoretical, its findings have the potential to guide progress towards practical applications of significant socioeconomic impact. These applications, which critically include Si photonics, have the medium- to long-term potential to, e.g. contribute to increasing bandwidth availability in optical communications, and contribute to reducing power consumption in optical communications and data centres.

This project is producing fundamental theoretical results to support the development of new semiconductor materials and nanostructures. These materials, which have a wide range of proposed device applications, have the potential to contribute to high-value economic activity in the medium- to long-term. The societal impacts of the semiconductor technologies that underpin the internet and enable the rapidly expanding "internet of things" have had profound societal implications. Further developments in semiconductor technology, supported in part by theory and simulation, have the potential to contribute to similar societal impacts in the future.
The emergence of a direct band gap in hexagonal (lonsdaleite) Ge
My booklet 0 0