Skip to main content
Ir a la página de inicio de la Comisión Europea (se abrirá en una nueva ventana)
español español
CORDIS - Resultados de investigaciones de la UE
CORDIS

Studying the Effect of Geometrical Features on Megathrust Earthquakes using Natural Observations and Seismotectonic Numerical Models

Periodic Reporting for period 1 - SEGMENT (Studying the Effect of Geometrical Features on Megathrust Earthquakes using Natural Observations and Seismotectonic Numerical Models)

Período documentado: 2021-09-01 hasta 2023-08-31

Half of the world population lives on subduction zones, regions that have hosted the largest earthquakes on Earth. Subduction zones are convergent margins where the downgoing movement of oceanic lithosphere occurs along massive interplate thrust faults, also called subduction megathrusts. Large earthquakes and the tsunamis they often generate, cause extensive human losses and severe economic and property damage in densely populated areas. It is therefore crucial to gain a thorough understanding of the spatial and temporal occurrence of earthquakes along the subduction megathrust.

A common understanding of the subduction interface is that it is paved with patches with different frictional properties, thereby causing heterogeneity in terms of seismogenic behaviour. Subducting geometrical features, such as seamounts and ridges, are thought to play a role in the spatial distribution of these seismic and aseismic regions. Studies in the last decade converged to the notion that large smooth portions of the megathrust are more prone to host large earthquakes, but seafloor features been related to both seismic and aseismic behaviour. A thorough understanding of the relationship between these features and the segmentation of the interface into seismic and aseismic regions is needed to accurately assess seismic hazard and forecast where and when we can expect megathrust earthquakes. SEGMENT aimed to understand and quantify the relationship between geometrical features and the spatial and temporal segmentation of the megathrust by combining quantified seafloor roughness and advanced geodetic inversion techniques with novel seismotectonic numerical models.
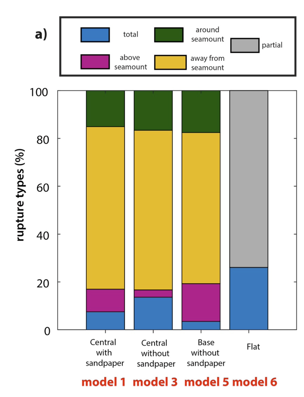
Through a collaboration with former colleagues (Menichelli et al., Geophysical Research Letters, 2023) the role of subducting geometrical features in tuning interseismic coupling and seismogenic behaviour is explained for a complex rheological plate boundary. We show using four analogue models with (i) a flat interface, (ii) high and (iii) low friction seamount, (iv) a low friction patch) that the presence of a seamount reduces recurrence time between earthquakes, interseismic coupling, and fault strength. This suggests it acts as a barrier; 80% of the ruptures concentrate in flat regions that surround the seamount and only smaller magnitude earthquakes nucleate above it (Fig. 1). The low-friction zone, which mimics the fluid accumulation or the establishment of fracture systems in natural cases, seems to be the most efficient in arresting rupture propagation.

In a collaboration with MSc student Maaike Fonteijn 2D seismotectonic numerical models are extended with seamounts of different geometries and lithologies on an oceanic plate, which were pushed to subduct under a Southern Chilean margin (Fonteijn, van Rijsingen, van Dinther, Tectonophysics, in prep.). We find three different styles of seamount subduction as a function of pore fluid pressure ratio and cohesion, which are accretion at the trench, subduction with flattening and stretching at depth, and intact subduction. A pore fluid pressure ratio ≤ 0.80 in combination with a cohesion ≥ 20 MPa is required for seamounts to subduct intact and reach seismogenic depths. The subduction of seamounts is accommodated by widespread permanent deformation around the seamount, through faulting of the fore-arc.

During this process, stresses in the overriding plate are altered and, in general, normal stresses in the wake of the seamount are reduced (up to 15 MPa), promoting stable slip and affecting earthquake ruptures. Results furthermore show that subducting seamounts have a profound effect on the observed seismicity. Most important are segmentation of the megathrust, concentration of seismic events on the seamount’s plateau, reduction of the amount of seismic events updip and downdip of the seamount, an increasing amount of splay faults, a shift of hypocenters to the seamount’s leading flank and increased interseismic coupling above the seamount. This implies that the seamount itself is a seismic asperity and its leading flank an area prone to earthquake nucleation, while the wake of the seamount is a barrier to earthquake propagation (Fig. 2). This dual behavior is able to explain seemingly contradictory observations that are made in the literature. Worth noting is that despite the barrier effect of a seamount’s wake, large earthquakes of up to Mw 8.5 are still likely to occur. Finally, if seamounts are instantaneously imposed rather than subducted, seismicity still largely occurs at the same location as for a smooth interface and fewer splay faults are activated (Fig. 2). This demonstrates the importance of simulating self-consistent subduction over millions of years for processes occurring on time scales of seconds. The absence of subduction of the seamount over long times in the analogue models may also be an explanation for the discrepancy between observations of asperity and barrier behaviour with respect to the analogue models.
These results provide new perspectives on the role that seamounts play in the nucleation, propagation and arrest of earthquakes. This understanding will help us to better anticipate the seismic hazard in subduction zones around the world.
screenshot-2023-09-12-at-11-38-09.png
screenshot-2023-09-12-at-11-34-35.png
Mi folleto 0 0