Skip to main content
Go to the home page of the European Commission (opens in new window)
English English
CORDIS - EU research results
CORDIS

Non-Hermitian elastodynamics

Periodic Reporting for period 1 - EXCEPTIONAL (Non-Hermitian elastodynamics)

Reporting period: 2022-09-01 to 2025-02-28

The properties of artificial materials can be tailored to exhibit extraordinary properties by cleverly engineering their composition. The development of such metamaterials is a prominent thrust in engineering today. One of the greatest challenges is to engineer metamaterials that manipulate waves by design. Of particular interest are elastic waves, since numerous mechanical applications require their control; vibration isolation, ultrasonography, energy harvesting and cloaking, to name a few. The forefront of research in wave control emerged from a seemingly unrelated theory, quantum mechanics, with the development of its non-Hermitian formalism, describing nonconservative systems that exchange energy with their environment. By drawing analogies between this formalism and those of classical systems, researchers have discovered phenomena that defy intuition, phenomena such as zero reflection and chiral absorption, and have exploited them to control light, sound, and elastic waves. This project goes beyond these analogies by exploiting the rich nature of elastodynamics, a nature that is unparalleled in other physics, in order to access unexplored non-Hermitian features and harness them for unprecedented wave control.
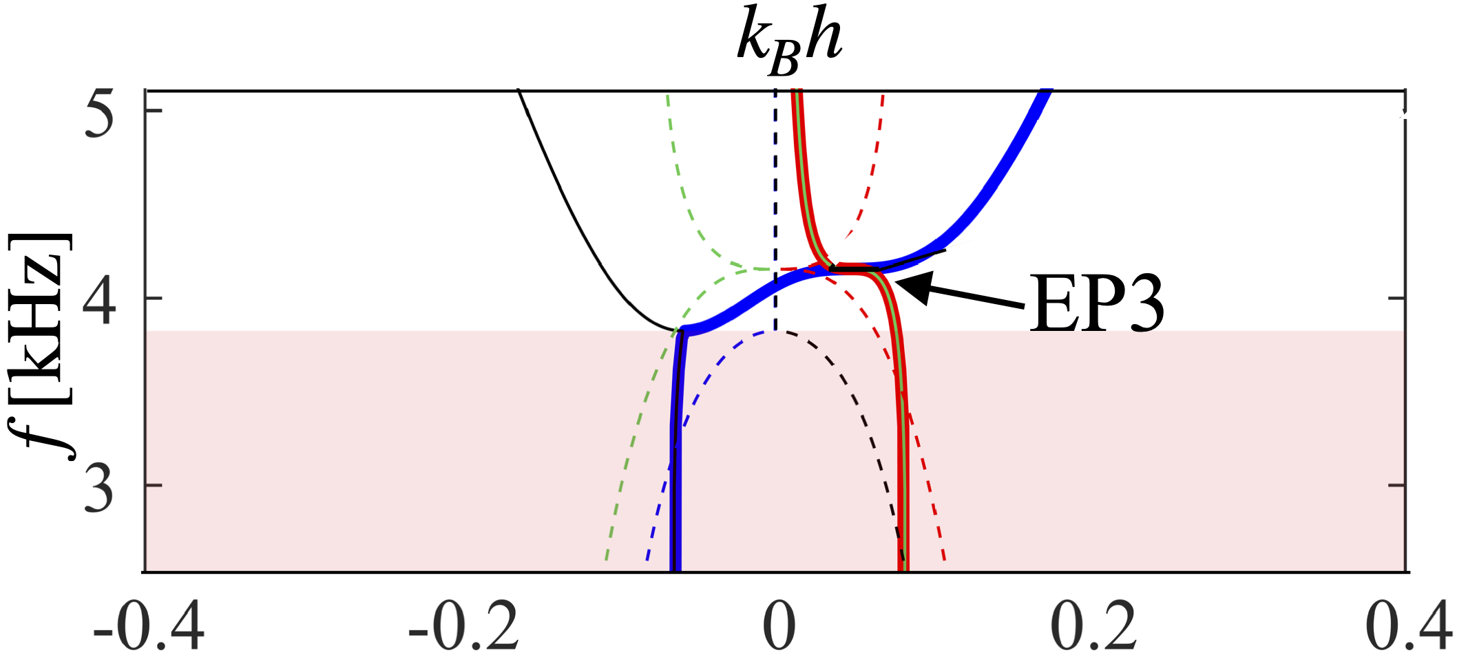
We have discovered a new form of elastic waves, known as axially frozen elastic waves, since their axial (group) velocity is zero, in spite of the fact that their transmittance is finite and can even reach unity.
We have developed simplified models for metamaterials whose linear momentum is coupled with electric field, a coupling that termed "the electromomentum coupling" and can be exploited for wave manipulation. Our models elucidate the physical origins of the electromomentum coupling, illustrate its mechanism, and identify local resonances which lead to elevated Willis and electromomentum coupling in narrow frequency bands. The results provide intuitive guidelines for the design of this coupling in piezoelectric metamaterials, and set the stage for future design of non-Hermitian features via odd electromomentum tensors.
Our results on axially frozen elastic waves pave the way for robust manipulation (i.e. guiding, harvesting etc.) of mechanical energy. Our results on the electromomentum coupling bring it closer towards its usage in sensing applications, as it enables inertial sensing directly from the material’s motion without requiring parasitic elements such as proof masses, providing a compact way of measuring both pressure and velocity fields; and inherently supports direction- and frequency-selective transduction responses, which can be tailored for a wide range of technological and defense-relevant applications. The ability to enable extreme forms of coupling with reconfigurable features opens an entirely uncharted design space for next-generation transduction devices, which can be used to detect, generate, and transport elastic and electromagnetic signals in efficient ways.
Breaking of axial symmetry and high-order mode degeneracy
Axially frozen elastic waves with unity transmittance
non-Hermitian odd electromomentum constitutive operators in elastodynamics
My booklet 0 0