Skip to main content
Go to the home page of the European Commission (opens in new window)
English English
CORDIS - EU research results
CORDIS

Phenomenology of B-meson semileptonic inclusive decays: from the Standard Model to the New Physics

Periodic Reporting for period 1 - PHOBIDE (Phenomenology of B-meson semileptonic inclusive decays: from the Standard Model to the New Physics)

Reporting period: 2022-10-01 to 2024-09-30

The project PHOBIDE has studied the decays of B mesons, hadrons made of a bottom quark and a lighter one. In particular it focused on semileptonic decays: processes in which the bottom quark inside the hadron decays into a lighter quark, a lepton and a neutrino (b→clν and b→ulν transition, where the lepton “l” stands for an electron, a muon or a tau). Measurements of semileptonic B decays lie at the core of the physics program of the LHCb and Belle II experiments in the next decade. Thanks to relatively large decay probability and clean experimental signatures, inclusive and exclusive semileptonic B decays offer a clean avenue for the determinations of two input parameters of the the Standard Model (SM) of particle physics: Vcb and Vub. These are elements of the Cabibbo-Kobayashi-Maskawa matrix (CKM) which parameterize the strength of the flavour-changing weak interaction among quarks.

These CKM elements are extracted based on the predictions obtained in the SM. However in recent years certain anomalies like R(D) and R(D*) have appeared in semileptonic decays of B mesons and have been interpreted as possible evidence of New Physics (NP) beyond the SM: indirect hints of non-standard interactions due to new particles exchanged in the process beyond those postulated by the SM.

PHOBIDE has studied inclusive semileptonic decays of B mesons, a type of decays where in the measurements one considers all possible hadronic final-states, independently on their composition. Physicists can make quantitative predictions for inclusive decays thanks to the heavy quark expansion (HQE): a method with which decay rate probabilities are computed as systematic double expansions in the strong coupling constant and inverse powers of the bottom quark mass. Constrains on generic NP effects in b→clν and b→ulν transitions have been derived from the exclusive modes (B→Dlν and B→D*lν). NP effects in inclusive decays have been merely explored, in spite of several precision measurements available from CDF, CLEO, Delphi, BABAR, Belle and Belle II experiments.

The central question of the project PHOBIDE has been to which extent the rich data set of kinematic distributions on inclusive decays can constrain non-standard interactions. To this end, the objectives have been to improve the SM predictions and to establish the theoretical fundations for the search of NP signals in inclusive semileptonic B decays. The project has focused on a comprehensive phenomenological analysis of inclusive decays, including for the first time all data from B factories on differential distributions. It has also studied the complementarity with the other decay modes, to better interpret the obtained constraints in specific NP scenarios, with particular attention to the Vub/Vcb puzzle.
The action PHOBIDE has produced a number of state-of-the-art results. It has developed the framework for the study in inclusive decays of NP contributions parametrized in terms of effective dimension-six operators [JHEP 02 (2023) 086]. The project improved the knowledge of higher order QCD corrections for B→Xclν and B→Xulν decays in the heavy quark expansion: in particular the fermionic contributions at third order in QCD for B→Xulν [Phys.Rev.D 108 (2023) 11, 11], the NNLO corrections to the q2 specturm [JHEP 05 (2024) 287] and the three-loop hard function for b→ulv decay [Phys.Rev.D 110 (2024) 5, 056011].

The action has develped the open-source code “Kolya,” a python library for penomenological analyses of inclusive semileptonic B-meson decays in and beyond the SM [10.5281/zenodo.10818194; hep-ph/2409.15007]. The project has analyzed, in a model-independent way B→Xclv experimental data to extract constrains on NP interactions. This analysis has also scrutinized in details several assumptions on the theory uncertainties and correlations in global fits of inclusive Vcb.

Work on complementarity studies with other B decay modes have been performed. In this project the perturbative QCD corrections for nonleptonic decay have been calculated to second order in a free bottom quark approximation [JHEP 09 (2023) 112, JHEP 10 (2024) 144]. Their inclusion in the SM predictions for B-meson lifetimes within the HQE allowed to reduce significantly the dominant theoretical uncertanty due to scale variation. Tangential work has also been performed on inclusive B→Xsγ decay [JHEP 11 (2023) 166], a crucial probe of physics beyond the SM and a process instrumental to extract information on the shape functions used in B→Xulν.

Results have been published in peer-reviewd articles (10), and presented in well-known conferences and workshops (8). Analytic results for decay rate and differential distributions have all been made publicly available as ancillary files in open-access repositories. The work of PHOBIDE has also been presented through invited seminars at European institutes. The fellow has also organized the topical workshop “Flavour@LHC” focusing on B-meson decays (https://indico.cern.ch/event/1228965/(opens in new window)) and the Ph.D. school “EFT 2024” (https://indico.icc.ub.edu/event/410/(opens in new window)). Other outreach activities (3) have complemented the dissemination of the project to the general public.
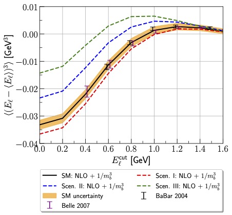
PHOBIDE has resulted in a number of novel theoretical developments in the theory of semileptonic B decays. PHOBIDE has provided the complete predictions for total rate and the kinematic moments of B→Xclν in the presence of the most general set of dimension-six operators parametrizing NP below the electroweak scale. These predictions have allowed to expoit the high-quality data from B factories on inclusive decays as competitive probes of NP and to incorporate inclusive decays in global fit of the CKM unitarity triangle in the presence of NP effects.

The project has delivered also new cutting-edge computations in perturbative QCD which have increased the precision of the SM predictions and enhanced the discrimination of subtle signals of NP. The new NNLO corrections to the q2 spectrum have already been used to add the recent measurements of q2 moments by Belle and Belle II to global fits of inclusive Vcb, reducing the uncertainty on the HQE parameters. The fermionic contribution to B→Xulv at third order in QCD will soon be exploited to reduce the theoretical uncertainty in the normalization factor C entering in the B→Xsγ and B→Xsll decay rate predictions.

One of the main achievement of this action has been the development of the python library “Kolya.” This work has established a open-access framework for analyses of inclusive B decays in and beyond the SM. Experimental collaborations will use the package to extract NP Wilson coefficients and HQE parameters. The code paves the way for the exploitation of experimental results in SMEFT analyses and combination with other observables at colliders. The code complements in scope several other open-source packages, in particular programs in flavour physics such as Flavio, EOS, HAMMER and HEPfit. The software “Kolya” developed in PHOBIDE will be exploited in the next decade, corresponding to the run schedule of the two experiments measuring semileptonic B decays: Belle II (Japan) and LHCb (CERN). New measurements with larger statistics and precision will be released regularly during the upcoming years, triggering updates and more precise phenomenological studies, ensuring a lasting scientific impact of the action.

PHOBIDE has explored new synergies between inclusive semileptonic decays and other B decays. By providing the NNLO QCD corrections to nonleptonic decays and updating the prediction for B-meson lifetimes within the HQE, the project has established a new handle to better extract the values of the HQE parameters in the fits for Vcb. The new results for the hard functions in SCET at third order for b→sγ and b→ulv will allow to quantify the impact of the N3LO corrections on the differential decay rates in B→Xsγ and B→Xulv. Their combination with known power-suppressed terms will have important implications in the determination of the leading shape-function and of Vub from inclusive decays. The project has aslo studied new lattice QCD calculations for inclusive semileptonic decays of heavy mesons. Lattice predictions for kinematic moments, particularly the q2 moments, were compared with the HQE-derived formulas for the same observables to extract cleaner informations on the value of the HQE parameters.
Sample Feynman diagrams contributing to the third order correction to b -> ulv
The NNLO correction to second q2 moment of B -> X_c lv as a function of the lower q2 cut.
Lepton energy moments for the B -> X_c lv decay for the different NP scenarios
My booklet 0 0