Skip to main content
Ir a la página de inicio de la Comisión Europea (se abrirá en una nueva ventana)
español español
CORDIS - Resultados de investigaciones de la UE
CORDIS

Cosmic Bells: Unveiling the composition of neutron stars with tidal oscillations

Periodic Reporting for period 1 - CosmicBells (Cosmic Bells: Unveiling the composition of neutron stars with tidal oscillations)

Período documentado: 2025-04-01 hasta 2027-03-31

Neutron stars (NSs) are among the densest objects in our Universe, yet what constitutes their interior remains unanswered. Recent studies suggest the existence of quark matter inside the heaviest NSs, while there is growing speculation about the presence of dark matter inside them. In addition to state-of-the-art electromagnetic experiments like NICER, we are now, for the first time, able to observe the evolution of binary NSs using gravitational waves (GWs) as well. With the advancement of GW observatories like LIGO, and the upcoming third-generation detectors on the horizon, there is now a unique opportunity to explore NS composition through their dynamical imprint on GW signals from compact object (CO) binary mergers. Yet, most theoretical efforts are still focused on static properties of NSs, which are unable to provide detailed information on their composition. The CosmicBells project seeks to address this gap by answering the critical question: what can we learn about exotic matter inside NSs by observing the impact of tidal oscillations on the GW signals of CO binaries?

The objectives of the project are twofold. Firstly, developing numerical and analytic models for the impact of g-mode tides on compact binary evolution, focusing on the effect of orbital eccentricities and CO spins, both characteristic for dynamically formed binaries. Secondly, quantifying the effect of quark matter on the properties of NS g-mode oscillations using state-of-the-art effective field theoretical methods based on QCD phenomenology. Additionally, the project also aims to characterize the impact of dark matter (DM) captured by NSs on g-mode properties, and thus on compact binary evolution.
The leading-order effect of small perturbations - such as tidal interactions or environmental effects (EEs) - on GW signals is the accumulated phase shift over long observation times. However, the existing literature on these effects is scattered and occasionally inconsistent. I therefore began by surveying the various perturbations that can dephase GW signals, including external potentials, additional energy fluxes, and observational effects such as Doppler delays. This resulted in an overview that synthesizes insights from the literature into a unified conceptual narrative, complemented by a curated reference of key formulas, illustrative examples, and methodological guidelines.

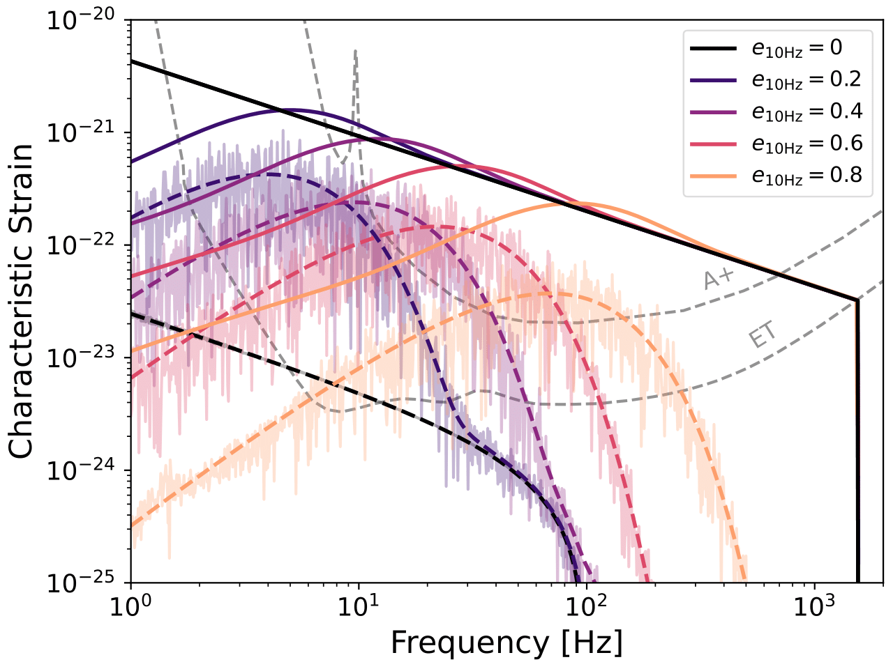
Although most of the relevant formulas existed in some form for circular binaries, I extended the discussion to finite eccentricities, which are expected for binaries formed in dynamical environments where EEs are especially relevant. This extension is also essential for characterizing how non-zero eccentricities influence dynamical tides. I derived new analytic expressions for the direct and indirect effects of energy and angular momentum perturbations on eccentric binaries, and demonstrated that the higher harmonics present in eccentric waveforms substantially enhance the detectability of tidal interactions and EEs.

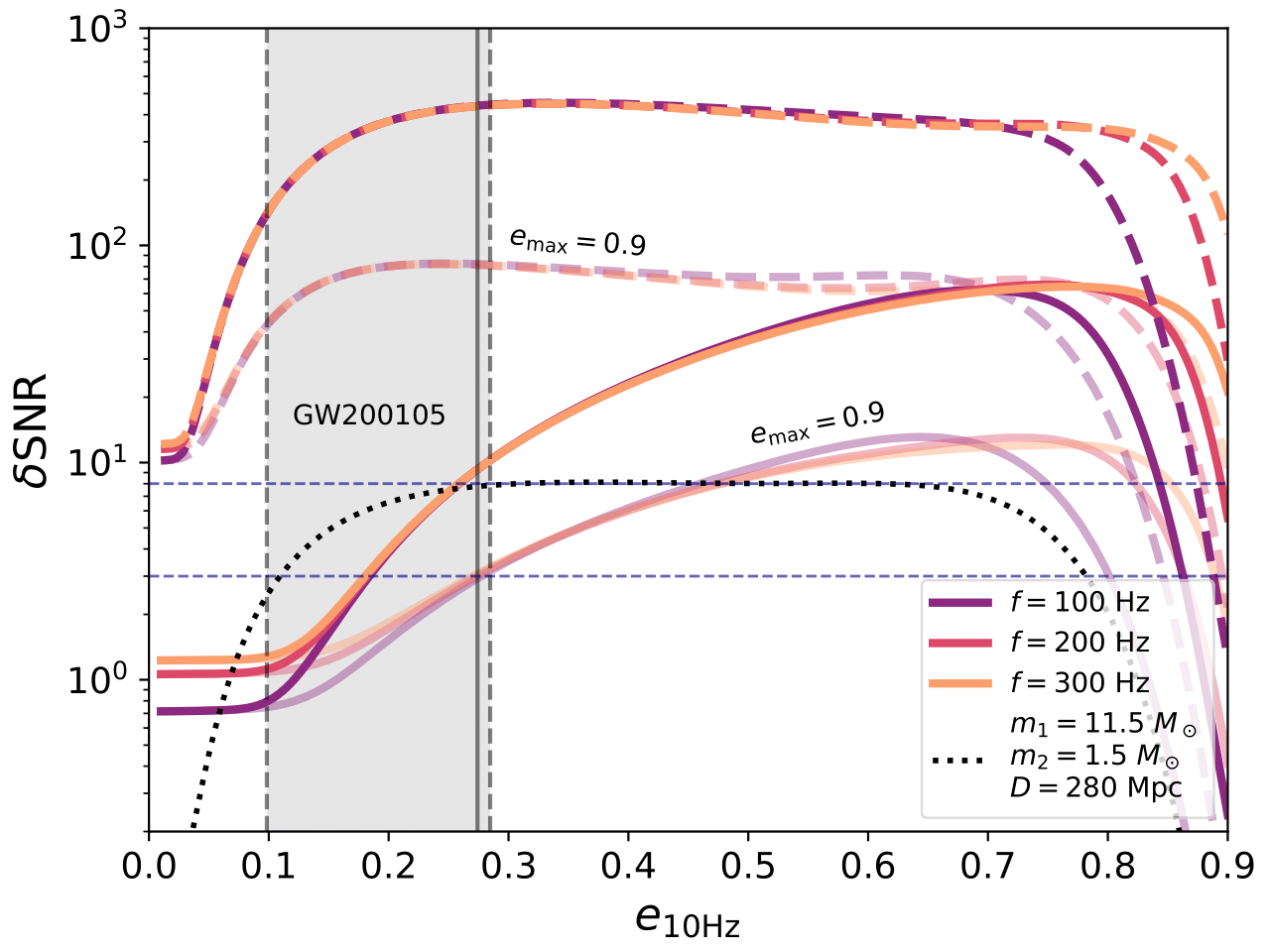
For eccentric binaries, tidal modes do not just resonate at a single orbital frequency but instead with all the higher harmonics at different stages of the evolution. The energy deposited into the modes across these repeated resonances can accumulate, producing a larger overall dephasing, making them easier to detect. However, these resonances also require that the mode excitation remain coherent over multiple orbits. Incorporating this coherence condition, I developed an analytic framework for the expected dephasing of eccentric binaries due to dynamical g-mode tides. I further showed that observing mildly eccentric binary NSs (with e~0.2–0.4 at a GW frequency of 10 Hz) could improve current constraints on g-mode properties by nearly an order of magnitude.

The effect of DM on NS observables has been the focus of many recent studies, yet the expected DM fraction inside NSs located in dense DM environments is rarely discussed. While DM capture by isolated NSs has been thoroughly explored, the accumulation of DM in NSs within binary systems had not previously been studied. To address this gap and to see if further investigation of DM admixed NSs was justified, I developed a Monte Carlo simulation that tracks the trajectories of test-particles (DM particles) around a compact binary. I found that DM capture can be enhanced in binaries by a factor of ~5 relative to isolated NSs, depending on the ambient DM velocity and the binary hardness. However, I also showed that dynamical friction from the same DM particles accelerates the inspiral, placing an upper limit on the capturable DM fraction even in extremely dense environments.
Despite the early termination of the project, I achieved various results going beyond the state of the art, some of which also go beyond the original scope of the project. Firstly, I created a curated overview of the theoretical framework necessary for incorporating dephasing due to tidal interactions and EEs in GW templates. This overview is intended to serve both as a reference for researchers in the field as well as a modern introduction for those who wish to enter it. I also derived novel aspects of dephasing for eccentric GW sources and laid the foundations for consistently treating the full problem. Importantly, I demonstrated that the detectability of EEs can be significantly enhanced in the presence of eccentricity, even for small eccentricities, substantially increasing the prospects for detection in ground based detectors. Considering g-mode tides, I provided an analytic framework for calculating the dephasing accumulated during multiple resonances between the g-modes and the various epicyclic frequencies of the binary and showed how current constraints on g-mode properties can be significantly improved by slightly eccentric NS binaries. Additionally, I provided empirical fits from Monte Carlo simulations for the amplification of DM capture in binary systems as a function of the ambient DM velocity. I also showed how the maximally capturable mass fraction of DM in NSs depends on the ambient DM density, considering limitations due to dynamical friction in binaries. Finally, I provided improved constraints on the interaction cross-section between bosonic DM and baryonic matter based on the observation of the binary NS merger event corresponding to GW170817.
Illustration of resonances between g-mode tides and various eccentric orbital harmonics
Illustration of DM particle orbits around binary systems
Snapshot of the density of DM particles around binaries
Change in the GW strain of binaries dephased due to g-mode resonances for different eccentricities
Increase in the detectability of dephasing due to g-mode tides as a function of orbital eccentricity
Mi folleto 0 0