Skip to main content
Go to the home page of the European Commission (opens in new window)
English English
CORDIS - EU research results
CORDIS

The Hall Plateau Transition and non-unitary Quantum Field Theory

Periodic Reporting for period 4 - NuQFT (The Hall Plateau Transition and non-unitary Quantum Field Theory)

Reporting period: 2020-04-01 to 2021-12-31

Quantum Field Theory (QFT) is one of the most powerful tools invented by physicists in the last 50 years. It provides, in essence, a way to think of - and, in many cases, to calculate properties of - interacting and or disordered physical systems in the "low-energy" regimes which are the most useful for experiments and practical applications.

The success of quantum field theory in particle physics has been well publicized in particular thanks to the successful CERN experiments that confirmed the existence of the Higgs boson. Quantum field theory is however also widely used in condensed matter or statistical physics. In this case, it can often happen that the formalism, well developed in the context of particle physics, has to be extended beyond a certain comfort zone. In particular, phase transitions occurring in a variety of disordered non-interacting electronic systems such as integer quantum Hall devices can only be tackled using quantum field theories that are not unitary. This technical term means that, after properly taking into account the disorder, one ends up having to deal with some formal processes for which probabilities are, in fact, negative! However unpleasant, the study of these processes still seems the best way to make progress on fundamental questions of current interest. Chief among these are the properties of the localization/delocalization transitions in topological insulators, which offer a wealth of potential technological applications via, in particular, the prospects of quantum computation.

The goal of this project was to build the technical apparatus necessary to handle complications arising from the loss of unitarity, and apply this apparatus to a better understanding of several types of physical systems, including the aforementioned phase transitions.

At the end of the project, a great deal has indeed being accomplished. The serious technical difficulties arising from non-unitarity in 1+1 conformal field theory have been surmounted, thanks to the development of new analytical and numerical techniques, and a systematic use of lattice regularizations combined with algebraic considerations. Some of the results obtained have deep mathematical consequences, but the rest of the project has been devoted rather to investigate applications to problems of physical interest. Another set of difficulties related with the non-compactness of the relevant field theories has been tackled in this context, and many aspects of the plateau transitions in classes A and C of quantum Hall effect have been elucidated. More results are expected in the near future.
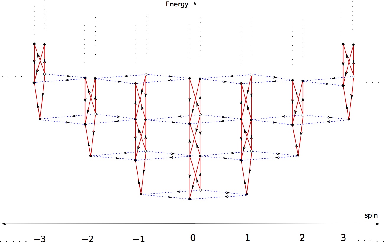
The loss of unitarity has in fact more dire consequences than the formal apparition of negative probabilities. In particular, the action of symmetries becomes considerably more complicated than in the unitary case, and leads to a proliferation of largely unobservable quantum numbers and types of behaviors.

It follows that an important component of the work done in the project dealt with mathematical aspects of representation theory (technically, in the non semi-simple case). The main result was a deep understanding of the action of scale and conformal invariance symmetries in large classes of non-unitary quantum field theories in 1+1 dimensions.

These mathematical results were then put to use in the systematic construction of correlation functions, in particular, for the plateau transition in the spin quantum Hall effect (class C).

Another consequence of the loss of unitarity in quantum field theories is the apperance of continuous spectra of critical exponents. This is in contrast with ordinary critical points - such as the one occurring in simple ferromagnets - for which only a discrete handful of exponents are known to exist. Another important part of the work done dealt with the properties of theories with such continuous spectra. This led to unexpected relationships with developments in string theory, as well as applications to problems of a more geometrical nature, such as the study of dilute polymers and percolation.

A final consequence of the loss of unitarity is the loss of any "entropic principle", and the possibility of very complicated renormalization group landscapes of quantum field theories. Such landscapes were studied in the case of theories with vanishing central charge (which are relevant to the description of disordered quantum critical points) using the information gained previously about the fixed points, together with algebraic and geometrical representations.

All these results are currently being put together to address, in particular, the problem of the plateau transition in the quantum Hall effect (class A).

The project results in more than 30 publications (plus 5 still unpublished preprints) in mathematics, quantum field theory and condensed matter journals. It also gave rise to many seminars and invited conference talks by members of the team.
The progress beyond the state of the art was considerable. The project led to a quantum leap in our understanding of logarithmic conformal field theories, from the representation theory of the conformal symmetry to the solution of the bootstrap problem. The project also led to very significant progress in the study of non-compact conformal field theories - in particular by providing lattice regularizations that can be used to investigate the subtlest aspects such as the density of states or the operator product expansions. Finally, the project led to many new results on the landscape of conformal field theories at vanishing central charge, and delineated an approach to solve the plateau transition problem via the study of truncations.

The project also gave rise to technical innovations with of a "bottom-up" approach to quantum field theories in 1+1 dimensions, where the properties in the continuum are analyzed and understood via the thorough analysis of lattice models (regularizations) reproducing the properties of these theories at large distance. This made possible the use of numerical techniques such as the Density Matrix Renormalization Group, analytical techniques such as the Bethe-ansatz, or mathematical techniques such as representation theory of finite dimensional associative algebras. This approach is in sharp contrast with the "top-down" one used so far, where one attempts to derive properties of the systems of interest essentially using symmetry considerations, the construction of effective actions (roughly analogous to the Landau-Ginzburg actions), and "bootstrap" arguments. The bottom-up approach, while involving considerably more work, produces powerful results, and seems applicable to extremely large classes of problems.
Typical organization of eigenenergy states when the symmetry is not unitary.
My booklet 0 0