Skip to main content
Go to the home page of the European Commission (opens in new window)
English English
CORDIS - EU research results
CORDIS

Functional optical probes for otology

Periodic Reporting for period 1 - FOIPO (Functional optical probes for otology)

Reporting period: 2017-01-01 to 2018-12-31

Various pathologies directly impede the conduction of sound through the human middle ear, and thereby produce a ‘conductive’ hearing loss which is the second most prevalent health issue globally. According to Hearing Health Foundation more than 360 million people suffer from hearing disorders worldwide. Hearing depends on a series of events that change sound waves in the air into electrical signals. Sounds that travel down the ear canal set the surface of the flexible eardrum or tympanic membrane (TM) into rapid pico- to nanometer scale vibrations. These motions are coupled to the inner ear by the ossicular chain (the malleus, incus, and stapes). Since the TM and ossicular chain are the primary portal through which acoustic stimuli reach the inner ear, pathological changes in the TM or ossicular chain result in conductive hearing losses. Accurate diagnosis of middle-ear diseases is critical to effective and timely treatments of hearing loss. No currently available clinical technique is capable of simultaneously visualizing and quantifying the structure and sound-induced vibration of the middle ear in vivo. Recently, Chang et al. demonstrated a new functional imaging technique based on optical coherence tomography (OCT) and the principle of vibrography for middle ear imaging at a low frequency range (<3 kHz). In this method, termed OCT-vibrography, a speaker is used to excite acoustic vibration in the tissue, and the resulting tissue displacement (minimum peak to peak amplitude of 1 nm) is captured by OCT. In addition to 3D morphological imaging, this method captures sound-induced vibrations on the tissue. Even though they could only examine ex vivo specimens, this technique has a huge potential to be translated into clinics with significant improvements. The main goal of this project is to make for a miniaturized OCT-vibrography probe for middle ear imaging. The miniaturized probe will be designed through integrated optics which will enable high-speed imaging. The system will operate in two modes: static imaging mode for examining biofilms and ear infections behind the ear drum; dynamic imaging mode for capturing high frequency (up to 20 kHz) oscillations in the middle ear structures.
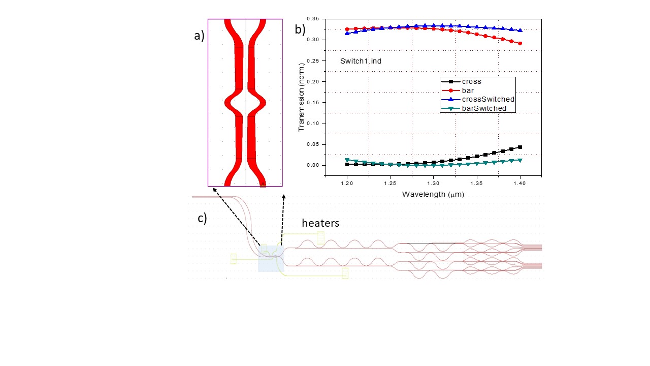
During this project, several novel concepts were developed to be used in the integrated optics based probe design. Some of them were realized at the Mesa+ Institute clean room facility, however one of the biggest challenge was the long delays in device fabrication. The first two prototype batches did not work due to insufficient etching and poor sidewall quality. Several new designs were made to increase the fabrication tolerance of the designs. These designs are fabricated at a different facility which will be delivered very soon. While waiting for the devices, a new characterization set-up was built. More importantly a new collaboration with a big laser company was established. A patent was filed, and another one is in progress currently. Two articles were published, and 2 conference presentations were given at national and international conferences.
I proposed a new method to overcome several problems associated with current parallel-OCT approaches. The patent filing is ongoing at the moment. The successful demonstration of this idea will not only solve the existing problems of the parallel-OCT systems, but also create a new market for on-chip OCT systems. An endoscopic probe based on this idea will be the first of its kind as well. I have also designed novel 3 dB splitters to be used in this project which can be separately patented later upon their successful demonstration.
slide4.jpg
My booklet 0 0