Skip to main content
Go to the home page of the European Commission (opens in new window)
English English
CORDIS - EU research results
CORDIS

A novel pathway for generation of building blocks for antibiotic biosynthesis

Periodic Reporting for period 1 - CaLiAT (A novel pathway for generation of building blocks for antibiotic biosynthesis)

Reporting period: 2016-09-01 to 2018-08-31

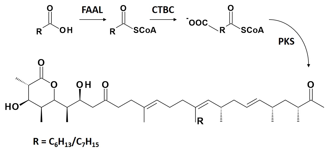
Antibiotics are medicines used to prevent bacterial infections in both human and animals. Development and spread of antibiotic resistance is a universal threat to global health and food security and search for new and improved drugs is of high importance. Bacteria are a rich source of natural products with diverse chemical structures and functions; 43% of biologically active compounds originating from bacteria were isolated from bacterial species named Streptomyces. Production of the cell components (e.g. proteins, lipids, carbohydrates) that are vital for bacteria survival is named primary metabolism, whereas production of biologically active compounds (antibiotics, hormones, etc.) is named secondary metabolism. Bioengineering is a leading approach in the diversification of bacterial secondary metabolites. The aim of the project was to get the detailed understanding how Streptomyces are using a new pathway for generation of unusual building blocks that are used to assemble natural products and how scientists can use the pathway for production of new antibiotics. The key enzymes of the pathway are highly similar to those that are involved in fatty acid biosynthesis (primary metabolism) and typically are not found in secondary metabolism. The project was divided into the following parts: (a) to find additional examples of the new pathway by targeted genome sequencing and confirm the pathway identity by gene knock-outs; (b) to study the candidate enzymes from the pathway in vitro for their substrate specificity and ability to accept non-natural substrates bearing chemical functionality; (c) to generate a new derivative of a well-studied antibiotic using the newly identified pathway in vivo. Production of non-natural antibiotics will provide an attractive way both to tag antibiotics for target identification studies, and to generate novel analogues of the parent molecule as potentially valuable leads in drug discovery. This approach to extender unit alteration sufficiently contributes to the panel of tools used for targeted modification of pharmaceutically important natural products, as well as for overall competence of European science.
Genome sequencing of the Streptomyces strains potentially housing the new pathway (further referred as ACCase pathway) hadn’t revealed new examples and the work was focused on the existing example – secondary metabolite named albonigrin from Streptomyces sp. A859. Gene inactivation experiments proved involvement of the candidate genes in the biosynthesis of the building blocks for albonigrin. Feeding experiments of the wild type strain (bacteria that is not genetically modified) and its’ mutants with the native and non-native precursors led to increase in production and biosynthesis of the new derivatives of albonigrins. The flexibility of the first enzyme in the pathway towards substrates which it accepts was further supported by in vitro studies. And finally, a new derivative of a model polyether antibiotic monensin has been generated. The results of the CaLiAT project were presented on a few occasions to a wider scientific audience.
Natural products are experiencing a strong revival as leads in drug development, and biosynthetic engineering offers sustainable routes to new and potentially improved analogues. Finding new ways to make these rational changes should ensure that the European Research Area remains competitive in realising the potential of this technology. In general, CaLiAT project achieved its main goal – gaining deeper understanding of the mechanism of biosynthesis of natural products precursors via the ACCase pathway. Successful exploitation of the pathway for selective derivatization of the industrially relevant antibiotic monensin opens new perspectives for development of antimicrobial agents.
Acyl-CoA carboxylase pathway for generation of unusual building blocks for polyketide synthases
My booklet 0 0