Skip to main content
Go to the home page of the European Commission (opens in new window)
English English
CORDIS - EU research results
CORDIS

Towards a multi-ton xenon observatory for astroparticle physics

Periodic Reporting for period 4 - Xenoscope (Towards a multi-ton xenon observatory for astroparticle physics)

Reporting period: 2022-04-01 to 2023-03-31

The Xenoscope project addresses the nature of dark matter in our Universe, and the fundamental nature of neutrinos. While we have ample evidence for the existence and distribution of dark matter, its composition at the microscopic level is not known. In the case of neutrinos, we know from neutrino oscillation experiments that they have mass, however the absolute mass scale, as well as their nature (Majorana versus Dirac particles) are unknown.
Xenoscope is focussing on essential, cutting-edge research towards the DARWIN experiment, which can address these question. DARWIN will be a multi-purpose observatory using a multi-ton liquid xenon (LXe) Time Projection Chamber (TPC), with the direct detection of dark matter as its primary goal. This detector aims to achieve an unprecedented sensitivity that will be limited by the irreducible background of neutrino interactions. However, neutrinos themselves are also an interesting physics channel for DARWIN. With a lower energy threshold than current neutrino experiments and its ultra low background level, DARWIN will be sensitive to low energy solar neutrinos (pp, 7Be), as well as to the neutrinoless double beta decay of 136-Xe. Other rare-event searches will include coherent neutrino scattering of solar 8-B and galactic supernova neutrinos and the observation of solar axions, as well as axion-like-particles and dark photons as dark matter candidates.
To design and construct a 50 t (40 t in the time projection chamber, TPC) detector, a number of critical technological challenges must first be addressed. Fundamental aspects are related to the design of the TPC, including the identification of new photosensors, the optimisation of the light and charge collection, and the minimisation of radioactive backgrounds. Xenoscope aims to address these aspects through a number of small, medium-size and a full-scale (in the z-coordinate of the TPC) prototypes. The goal is to specify the required input for the technical design of the 50 t detector.
Arrays of VUV-sensitive SiPMs will be studied as alternative light sensors to photomultiplier tubes, and the signal detection will be optimised for both low and high-energy readout, thus drastically increasing the dynamic range of a LXe-TPC. Low-background materials will be identified and characterized not only for the photosensors and their read-out, but for all the components of the detector. Finally, a full scale TPC in the z-dimension, 2.6 m in height, will be designed, built and operated. The main goal is to demonstrate electron drift and extraction into the vapour phase over the distance relevant for the final DARWIN geometry.
WP1: TPCs with SiPM arrays
We operated the first xenon time projection chamber with an array of 16 SiPM channels in the top photosensor plane. We acquired data with the internal calibration sources 83m-Kr and 37-Ar source. We thus calibrated the detector down to energies of 2.8 keV (37-Ar K-shell). We achieved an energy resolution is x-y at the level of 1.5 mm. We compared the light and charge yield to NEST v2.0 predictions. The results published in EPJ-C. The next step is to analyse the data down to even lower energies (L-shell in 37-Ar) and also to determine the W-value in liquid xenon.
WP2: Readout of PMTs and SiPMs
We developed the boards (cold electronics) to read out the SiPM arrays from Hamamatsu and from Fondazione Bruno Kessler (FBK), in collaboration with our electronics workshop. We have also developed a warm, dual-channel PMT amplifier board that has a low gain and high gain amplification, for the high energy (relevant for the neutrinoless double beta decay search) and low energy regions (relevant for the dark matter search), respectively. This board was tested with PMTs operated with the MarmotX liquid xenon detector in our laboratory, and is now used for the XENONnT PMTs.
WP3: Background minimisation and MC simulations
We upgraded the shield structure of the Gator HPGe detector, which our group operates at the Laboratori Nazionali del Gran Sasso and quantified the new background rate. Since the upgrade, we screened detector components for the XENONnT experiment and for the future DARWIN. Next we will try to reduce the background of the detector further, by increasing the gaseous nitrogen flow, and thus reducing the radon levels inside the shielding structure. We have implemented the DARWIN detector geometry into the Geant4 framework (in collaboration with the ERC funded group at Freiburg University, Ultimate) and we simulated the electronic recoil background from detector materials. We estimated the cosmogenic background from 137-Xe, which is produced by neutron capture on 136-Xe. The background from the decay of 137-Xe is particularly relevant for the neutrinoless double beta decay search.
WP4: A full scale TPC prototype
We constructed the support structure, the cryostat, the cryogenic, gas and purification, as well as xenon storage systems. We also completed the field simulations (based on the Comsol package) for the high-voltage feed-through. We are working on a purity monitor as well as on the design of the full 2.6 m time projection chamber.
WP5: Science reach
We have assessed the science reach of DARWIN for the pp, 7-Be and CNO solar neutrinos and for the neutrinoless double beta decay of 136-Xe. We find that we will be able to directly measure the pp flux down to low energies (~a few keV) and subsequently provide the first measurement of the electron neutrino survival probability below 200 keV and the first measurement of the weak mixing angle below 2.4 MeV. We expect to make a distinction between the high- and low-metallicity solar models with a median p-value of 0.03-0.15 in the lifetime of the DARWIN experiment. We determined the half-life sensitivity for neutrinoless double beta decay of the DARWIN detector, which will contain about 3.5 tons of 136-Xe in the 40 ton natural xenon TPC. We showed that DARWIN can achieve comparable sensitivities to dedicated double beta experiments. Both results are published in EPJ-C.
Progress beyond the state of the art:
WP1: the first xenon TPC with SiPM readout; calibration with a new low-energy internal source, 37-Ar, produced at the Swiss Spallation Source at PSI Villigen, down to 2.8 keV; measurement of the W-value in xenon
WP2: successful development of a SiPM readout board with a cryogenic pre-amplifier; successful development of a cryogenic pre-amplified readout base for the 3-inch Hamamatsu VUV photomultiplier tube, which is the baseline photosensor for DARWIN
WP3: successful upgrade of the Gator low background counting facility, which is one of the world's most sensitive HPGe detectors. Reduction of the noise levels. First screening of DARWIN materials. In the future we expect to screen and identify the actual detector construction materials. Successful implementation of the detailed DARWIN geometry into the Geant4 framework, and simulations of the electronic and nuclear recoil backgrounds. We aim for a full background model of the detector, for both electronic and nuclear recoils.
WP4: the design of the 2.6 m TPC, together with the cryostat, and all the support systems (gas circulation and purification system, recuperation system, cryogenic system) is proceeding well. The final aim is to build and operate the 2.6 m xenon TPC and achieve an electron lifetime above 2 ms.
The sensitivity of DARWIN to the Majorana neutrino mass
Comparison of Xurich data with NEST predictions
The new, airtight enclosure of the Gator HPGe facility at LNGS
A picture of the DARWIN demonstrator as of summer 2020
The first two-phase xenon TPC with SiPM light and charge readout.
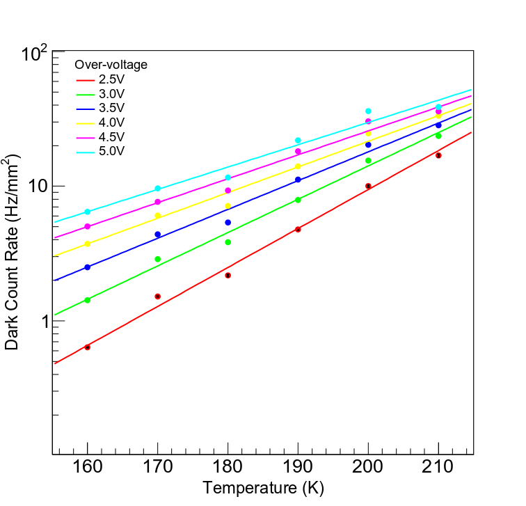
The dark count rate as a function of temperature of the SiPM unit from FBK
The status of the Xenoscope DARWIN demonstrator in the assembly hall of the Physics Department at UZ
My booklet 0 0