Skip to main content
Go to the home page of the European Commission (opens in new window)
English English
CORDIS - EU research results
CORDIS

Statistical Modelling for relating multimodal neuroimaging to clinical outcomes in order to predict patient response to depression therapy.

Periodic Reporting for period 1 - NEUROMODEL (Statistical Modelling for relating multimodal neuroimaging to clinical outcomes in order to predict patient response to depression therapy.)

Reporting period: 2017-06-01 to 2019-05-31

Understanding brain mechanisms and how they are affected by pharmacological interventions is essential to improve prevention and treatment of brain disorders. For instance, in major depressive disorders (MDD), less than half of the patients respond to first-line antidepressant treatment and previous attempts to identify a single biomarker that can critically predict individualized treatment response have so far failed. It has been hypothesized that the serotonin system is a key factor in MDD and most antidepressants attempt to act on this system. Recent advances in medical imaging allow to simultaneously visualize the brain structure (using Magnetic Resonance Imaging - MRI) and the serotonin system (using Positron Emission Tomography - PET) in order to characterize the role of serotonin in MDD and antidepressant therapy, e.g. to determine whether an abnormal serotonin levels make the patient more likely to respond to antidepressive treatment. This is being investigating in research project called Neuropharm (https://np.nru.dk/(opens in new window)) conducted in Copenhagen, Denmark.

The aim of this project is to provide the statistical tools to successfully analyze complex data mixing brain images, clinical, psychological, and genetic data. Latent variable models (LVMs), a multivariate technique using latent variables to model the relationship between indirect measurements of quantities of interest (e.g. of the brain serotonin level and the depression status of the patient), are of particular interest but need to be adapted to the context of neuroscience. Because PET and MRI measurement are expensive, studies involve a limited number of individuals (typically less than 100) and are intended to investigate several hypotheses. This is a challenge for the validity of the statistical analysis since traditional results holds in large samples and for a single hypothesis. Moreover due to the complexity of the brain system, it is difficult to specify a priori a valid statistical model. Efficient model-selection procedures need to be developed for LVMs. To ensure the diffusion of the methods to neuroscientists, the project also aimed at making the proposed statistical tools publicly available, with appropriate documentation, and assisting neuroscientists in their use.
The project started with the development of a software package, lavaPenalty (https://github.com/bozenne/lavaPenalty(opens in new window)) implementing penalized LVMs. Compared to traditional LVMs, penalized LVMs use a penalty term to perform model selection and handle a possibly large number of variables (e.g. images). Available penalization terms are lasso penalty, ridge penalty, and nuclear norm penalty (to deal with 2D images). The main drawback of penalization is that it greatly complicates the quantification of the uncertainty in the estimated effects, making the results of the statistical analysis difficult to communicate.
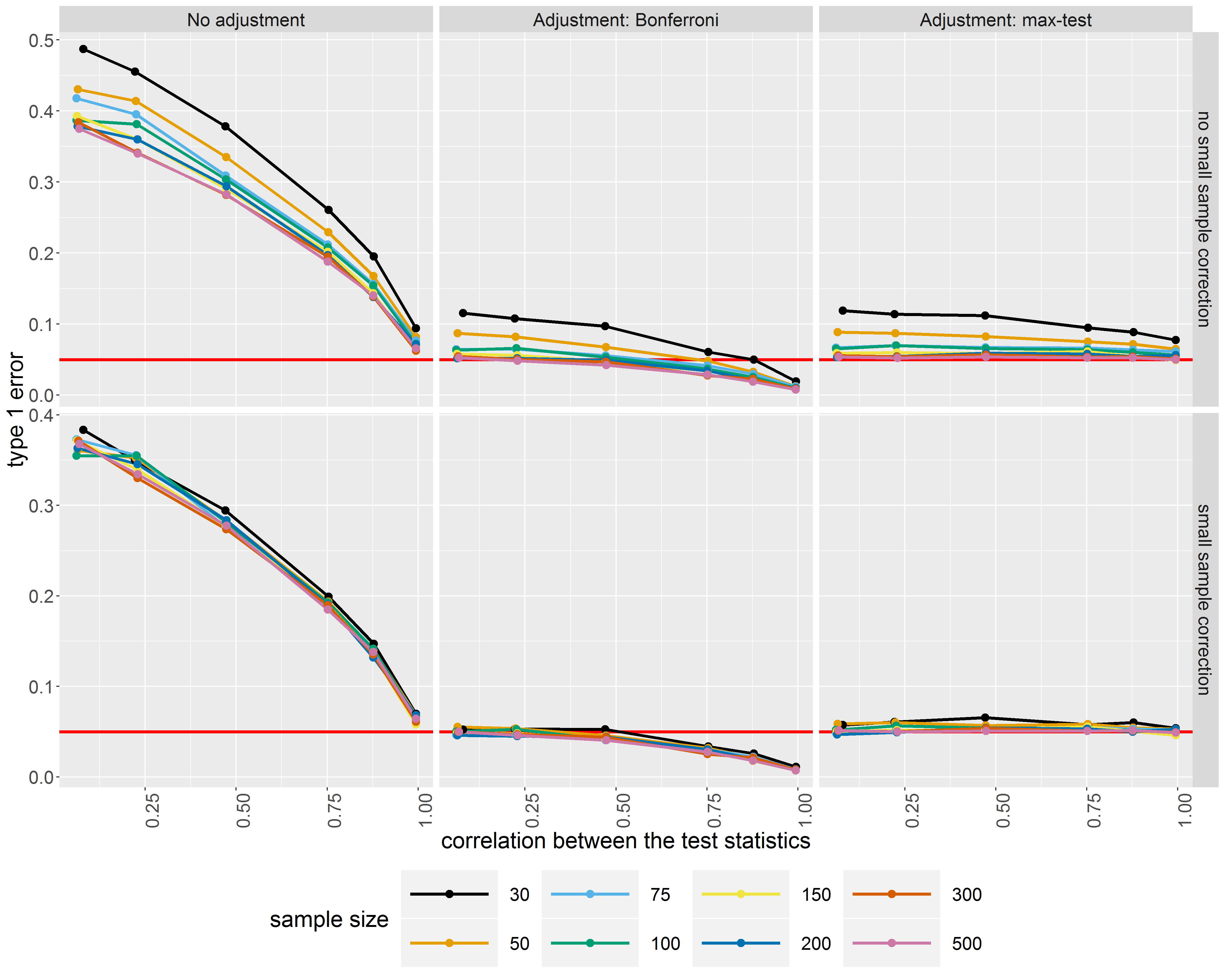
The project was then focused on statistical inference in LVMs. First, the behavior of traditional statistical tests, namely Wald tests, was assessed in small samples and found to be unsatisfactory (inflated Type I error). A correction for Wald tests was derived [A4], validated in simulation studies, and implemented in a software package called lavaSearch2 (https://github.com/bozenne/lavaSearch2(opens in new window)). Secondly, an existing method to efficiently handle multiple testing was extended to LVMs [A7]. It showed satisfactory statistical properties (i.e. good control of the Type I error) while being more powerful than the traditional Bonferroni correction. As a by-product, it can be modified to improve model-selection procedures in LVMs or combined with the correction to perform multiple testing in small samples. These developments are also implemented in the software package lavaSearch2. The project now targets the development of post selection inference tools for regularized LVMs.
The proposed developments have found direct application in neuroscience research projects. For instance, the work on multiple testing has helped to define a method for assessing predictive performances when the raw data can be processed using different technics [A1]. The software lavaSearch2 has been used to quantify the consequence of a concussion in term of neuroinflammation [A2]. Several collaborations were also established, e.g. to develop estimators robust to model misspecification [A5] and to study the brain’s serotonin system [A3,A6].
Manuscripts:
[A1, Published] Preprocessing, prediction and significance: Framework and application to brain imaging by Martin Nørgaard, Brice Ozenne, Claus Svarer, Stephen C. Strother, Vibe G. Frokjaer, Gitte M. Knudsen, and Melanie Ganz. Medical Image Computing and Computer Assisted Intervention conference 2019
[A2, Published] Molecular imaging of neuroinflammation in patients after mild traumatic brain injury by Sebastian Ebert, Per Jensen, Brice Ozenne, Armand S, Svarer C, Stenbaek DS, Moeller K, Dyssegaard A, Thomsen G, Steinmetz J, Forchhammer BH, Knudsen GM, Pinborg LH. European Journal of Neurology, 2019, DOI: 10.1111/ene.13971.
[A3, Published] Psychedelic effects of psilocybin correlate with serotonin 2A receptor occupancy and plasma psilocin levels by Martin K. Madsen, Patrick M. Fisher, Daniel Burmester, Agnete Dyssegaard, Dea S. Stenbæk, Sara Kristiansen, Sys S. Johansen, Sczabolz Lehel, Kristian Linnet, Claus Svarer, David Erritzoe, Brice Ozenne, Gitte M. Knudsen. Neuropsychopharmacology, 2019.
[A4, In revision] Small sample corrections for Wald tests in Latent Variable Models by Brice Ozenne, Patrick Fisher, and Esben Budtz-Jørgensen. Journal of the Royal Statistical Society, Series C.
[A5, In revision] On the estimation of average treatment effects with right censored time to event outcome and competing risks by Brice Ozenne, Thomas Harder Scheike, Laila Stærk, and Thomas Alexander Gerds. Biometrical journal
[A6, In revision] The Structure of the Serotonin System: a PET Imaging Study by Vincent Beliveau, Brice Ozenne, Stephen Strother, Douglas N Greve, Claus Svarer, Gitte M Knudsen. Neuroimage.
[A7, Submitted] Controlling the familywise error rate when performing multiple comparisons in a Linear Latent Variable Model by Brice Ozenne, Sebastian Elgaard Ebert, and Esben Budtz-Jørgensen. Psychometri
The research project has made several original contributions in statistics, aiming at providing valid, efficient, and interpretable statistical procedures even when the sample size is small and the prior knowledge is limited. This should help neuroscientist in the analysis of their data and improve the reliability in the results published in neuroscience. In particular we derived a method to improve statistical testing in LVMs with small sample size and a method to better handle multiple testing. These methods are general improvement of LVMs that widely used also outside the field of neuroscience (e.g. social science, psychology). The work also developed penalized LVMs and considered post-selection inference in these models. While these developments are theoretically important, further work is necessary to make these methods applicable in clinical studies. Continuation of our developments will lead to more flexible LVMs and the possibility of a voxel-wise analysis of the brain using LVMs.
Example of brain images being compared (upper row vs. lower row) using Latent Variable Models.
Rate of incorrect discoveries when testing multiple hypotheses in LVMs. Optimal rate 5%.
My booklet 0 0