Skip to main content
Go to the home page of the European Commission (opens in new window)
English English
CORDIS - EU research results
CORDIS

For a better understanding and design of ferroelectric photovoltaics: First-principles study of optical absorption and charge-carrier transport at ferroelectric domain walls in BiFeO3

Periodic Reporting for period 1 - FERROVOLT (For a better understanding and design of ferroelectric photovoltaics: First-principles study of opticalabsorption and charge-carrier transport at ferroelectric domain walls in BiFeO3)

Reporting period: 2017-06-15 to 2019-06-14

"Ferrovolt is a basic-research project in the field of solar-cell materials.
Its goal is to determine how a specific nanostructure (a ferroelectric domain wall) can be exploited to boost solar-cell performance.
A ferroelectric is a material that exhibits a spontaneous electric dipole in a similar way that ferromagnets exhibit a magnetic dipole.
Ferroelectrics tend to spontaneously form domains with different directions of the ferroelectric polarization with nanoscopic interfaces (ferroelectric domain walls) between them.

Standard silicon solar cells require a p-n junction to generate a photovoltage because of the crystal structure of silicon, which is inversion-symmetric.
This means that photogenerated charge carriers flow equally into all directions and the net current and voltage are zero.
In order to break the symmetry, one needs to create a p-n junction which causes electrons and holes to flow into opposite directions, resulting in a net photovoltage.
In contrast, ferroelectric materials do not have inversion symmetry and can therefore provide a photovoltage without a p-n junction.
This phenomenon is called the bulk photovoltaic effect, and it is technologically interesting because other than p-n junctions, ferroelectricity comes for free.

It has been theorized [1] that ferroelectric domain walls could yield an even stronger photovoltaic effect.
It was suggested that these create much stronger electric fields than p-n junctions do.

This hypothesis was soon challenged [2].
Measurements of the photovoltaic effect in BiFeO3 (bismuth ferrite) and BaTiO3 (barium titanate), both prototypical ferroelectrics,
showed that the photocurrent oscillates if the light polarization rotates, which it should in the case of the bulk photovoltaic effect,
but not in the case of the domain-wall effect. This finding shows that the bulk photovoltaic effect exists,
but it does not prove that the domain-wall effect does not.

The difficulty to measure the size of the domain-wall effect lies in the nanoscopic width of the ferroelectric
domain walls (a few atomic layers). To measure the photocurrent or photovoltage with this resolution is challenging.

In the Ferrovolt project I model what cannot be measured, using atomistic, quantum-mechanical modelling (density-functional theory) to
to study the electronic processes that determine electronic potential and current of photoelectrons at ferroelectric domain walls in BiFeO3.
BiFeO3 is a model system for which there is a large body of experimental data to compare with, although as an inefficient light absorber it is not ideal for solar cells. What we learn about BiFeO3 will finally need to be transferred to other ferroelectrics that are better absorbers.

The objectives of Ferrovolt were
1) to determine the photovoltage generated by ferroelectric domain walls by calculating optical absorption and spatial photocarrier distribution,
2) to determine whether the domain walls are considerably more conductive than the domain interior by calculating the electronic conduction, and
3) to determine the effect of defects (oxygen or bismuth vacancies) on these domain-wall properties.

The overall goal of Ferrovolt was to understand how large the domain-wall photovoltaic effect is, and how it can be optimized.

[1] Jan Seidel et al., ""Conduction at domain walls in oxide multiferroics"", Nature materials 8 (3) 229 (2009) (https://ir.nctu.edu.tw/bitstream/11536/7519/1/000263556800023.pdf(opens in new window))
[2] Akash Bhatnagar et al., ""Role of domain walls in the abnormal photovoltaic effect in BiFeO3"", Nature communications 4, 2835 (2013) (https://www.nature.com/articles/ncomms3835(opens in new window)).
"
"First I constructed structures of the three prevalent domain-wall types that compare
sufficiently well with other theoretical as well as experimental data from the literature.

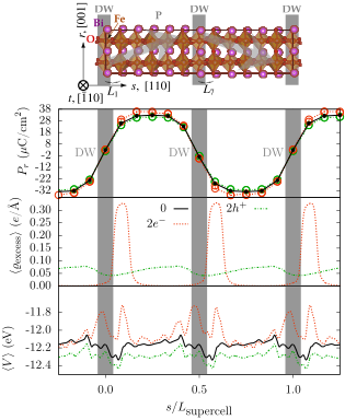
Next I determined the electronic potential at these domain walls and the spatial charge-carrier distribution.
The results revealed that electrons and holes are trapped on opposite sides of the domain walls, as expected.
Unexpectedly, they are trapped on the opposite side compared to what classical electrostatics would predict.
Electrons, but not holes, form small polarons at the walls (they deform the crystal lattice), at least for large electron concentrations.
These small electron polarons form defect states in the band gap [3].

The next step was to study optical properties of the walls.
I calculated optical absorption spectra and spatial photo-charge carrier distributions.
The results show again that the photovoltage profile at the wall is opposite to that expected by classical electrostatics.
They also indicate that the domain-wall photovoltage is most likely smaller than the bulk photovoltaic effect [4].

The literature reported an interesting behaviour of Bi vacancies at domain walls.
According to experiment, very large concentrations of Bi vacancies can accumulate at the walls,
and these vacancies are accompanied by holes (missing electrons) localized on neighbouring Fe atoms.
I modelled domain walls with Bi vacancies, and found the same as experiment.
Whereas holes do not localize in the domain interior nor at the pristine domain wall,
they do so if there are Bi vacancies at the wall.
These Bi vacancies trap excitons in highly localized states, hence form recombination centres.
Therefore I expect Bi vacancies to be detrimental for the domain-wall photovoltage.

[3] Sabine Körbel, Jirka Hlinka, and Stefano Sanvito, ""Electron trapping by neutral pristine ferroelectric domain walls in BiFeO3"",
arXiv preprint arXiv:1806.02911 (2018) (https://arxiv.org/abs/1806.02911(opens in new window))
[4] Sabine Körbel and Stefano Sanvito, ""Photovoltage from ferroelectric domain walls in BiFeO3"", arXiv preprint arXiv:1905.10321 (2019) (https://arxiv.org/abs/1905.10321)(opens in new window)"
Thanks to Ferrovolt, we know
- the shape of the electronic potential at the domain walls (different from what classical electrostatics predict),
- where the domain walls trap charge carriers (opposite to where classical electrostatics predict),
- how light absorption changes at the domain walls (hardly at all, but free electrons at the wall can cause absorption in the band gap),
- ths size of the domain-wall photovoltage (small compared to the bulk photovoltaic effect), and its dependence on carrier lifetime and mean free path,
- that excitons in BiFeO3 transform from large to small exciton polarons at high exciton concentration (under strong light irradiation), which reduces the domain-wall photovoltage and leads to fast recombination
- that Bi vacancies at the domain walls act as exciton recombination centres.

Extrapolating to typical ferroelectric oxides in general, we should not expect a large photovoltage from typical ferroelectric domain walls.

There is still hope that other ferroelectric materials may exist which exhibit a higher domain-wall photovoltage than BiFeO3, and Ferrovolt opens the way for a search for such materials. Such materials would probably need to have a large ferroelectric polarization, since we can expect the photovoltage to scale with the polarization. There might be another possibility to increase domain-wall photovoltages by engineering high-energy domain walls, possibly by applying strain via a suitable substrate.

The currently ongoing calculations of electronic transport will reveal if defects are needed to explain the observed large electronic conductivity along domain walls.
domain wall: structure, ferroelectric polarization, excess charge carrier density, and potential
My booklet 0 0