Skip to main content
Aller à la page d’accueil de la Commission européenne (s’ouvre dans une nouvelle fenêtre)
français français
CORDIS - Résultats de la recherche de l’UE
CORDIS

Signs of Early Adaptation to Climate Change

Periodic Reporting for period 3 - EARLY-ADAPT (Signs of Early Adaptation to Climate Change)

Période du rapport: 2024-02-01 au 2025-07-31

EARLY-ADAPT (“Signs of Early Adaptation to Climate Change”) is a European Research Council (ERC) Consolidator Grant (CoG), whose overarching aim is to jointly analyse the environmental and socioeconomic drivers of recent trends in public health.

Societal Challenge: Environmental factors kill hundreds of thousands of Europeans every year. Climate change is an additional threat for public health, and adaptation an essential strategy of increasing importance. Societies are devoting efforts to adaptation, but evidence of effectiveness is still lacking.

Hypothesis and Aim: The driving hypothesis of EARLY-ADAPT is that European societies are starting to adapt to climate change, but the effectiveness of early adaptation is heterogeneous between populations and through time. The project aims to detect, understand and quantify the drivers and inequalities of human adaptation between countries, regions, cities and social groups.

Methodological Approach: EARLY-ADAPT is integrating multiple health outcomes and environmental and socioeconomic factors to perform a numerically-intensive, epidemiological analysis between daily spatiotemporal datasets. The project is using different layers of data to analyse the scales and spatiotemporal heterogeneity of the drivers of early adaptation.

Research Plan: After creating a homogeneous, continental-wide database of human health in Europe, EARLY-ADAPT is modelling the relationship between health and the environment, and quantifying the modifying effect of the societal factors. The final aim of the project is to perform a predictability analysis to determine the most realistic adaptation scenarios for the projections of future health.

Impact in Science: The continental-wide, multi-factor, multi-scale framework of EARLY-ADAPT aims to connect a range of disciplines to reveal the drivers, and the inequalities, of the early adaptation response to climate change.
During the first 54 months of the EARLY-ADAPT project, the team carried out a wide range of activities to establish the research foundation and deliver impactful results. We set up and recruited the team, and created the project website to share updates and findings with the public. A central achievement was the creation of our comprehensive database, which now contains 136 health datasets from various national statistical agencies, including 123 from European countries.

We collected and pre-processed environmental data to estimate exposures, incorporating climate variables and air pollution concentrations. Advanced machine learning techniques were used to transform information from ground-level stations, satellites and reanalyses into daily, high-resolution estimates of key air pollutants across Europe. We designed and implemented harmonisation protocols to integrate health and environmental data, ensuring consistency and comparability.

We also designed protocols and subroutines to automatically integrate and post-process new datasets or format changes in existing ones. Epidemiological models were applied to estimate the risk associations between environmental exposures and health outcomes at continental, regional and local scales. These models enabled us to quantify the heat-related mortality burden of recent record-breaking European summers, highlighting differences by country, sex and age group, and exploring early adaptation to climate change.

We applied detection and attribution techniques to assess the contribution of climate change to environmental mortality burdens and analysed how societal ageing influences changes in adaptation. In addition, we developed Spatial Bayesian models for small-area epidemiological analysis and built predictive models to evaluate the potential of heat- and cold-related health early warning systems.

Our work resulted in 45 scientific papers, many published in high-impact journals such as The Lancet, Nature Medicine, The Lancet Public Health, The Lancet Regional Health - Europe, and Nature Communications. We also presented our findings at scientific conferences and reached broader audiences through media coverage, including live interviews with CNN, BBC and The New York Times.
Part of the work during the first 54 months focused on creating the project database, the largest, format-homogeneous mortality dataset in Europe, combined with the best available climate, air pollution, socioeconomic and demographic data. To achieve this, we designed and implemented harmonisation protocols for successful integration of data. Many health datasets were protected under third-party intellectual property rights, so we worked with institutions to clarify legal terms and implement data access protocols. The database is being regularly updated with new datasets or real-time products (e.g. weather forecasts and climate projections), using protocols and subroutines for automatic integration and post-processing. It is now ready and being analysed.

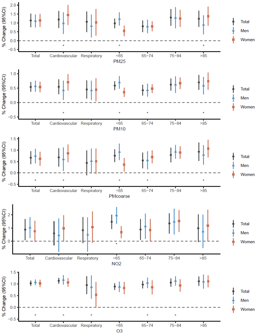
The project has led to several publications advancing knowledge beyond the state of the art. A key achievement was estimating heat-related mortality during Europe’s record-breaking summer of 2022 (Nature Medicine): Ballester et al. found 61,672 deaths between late May and early September, with the highest numbers in Italy, Spain, and Germany, and higher rates in women and the elderly. In 2023, another exceptionally hot year, Gallo et al. applied models to data from 823 regions in 35 countries, estimating 47,690 heat-related deaths, and showing that adaptation since the year 2000 reduced this burden by ~80%, especially in older people (Nature Medicine). A recent paper by Janos et al. (Nature Medicine) uses our new standardized daily mortality database to estimate 62,775 heat-related deaths for the summer of 2024 (23.6% higher than 2023 but 8.1% lower than 2022), and demonstrated that health emergencies can be forecast with high confidence at least a week in advance. Other studies deepened understanding of climate-health risks: Zhao et al. showed short-term exposure to multiple air pollutants causes substantial, unequal mortality burdens across 31 European countries, emphasizing the need for targeted strategies. Zhao et al. highlighted how socioeconomic inequalities and uneven renewable energy adoption widened regional disparities in air pollution-related mortality. Paniello-Castillo et al. found heat-related mortality risks increased during COVID-19 in Southern and Western Europe while cold-related risks were higher pre-pandemic in other regions, underscoring the need to strengthen adaptation. Another study by Paniello-Castillo et al. showed regions with greater deprivation face higher vulnerability to both heat and cold, calling for policies that integrate social justice. Shartova et al. found urban populations in Russia may have become more vulnerable to heat compared to rural populations, indicating maladaptation in cities. Finally, Quijal-Zamorano et al. (Science Advances) demonstrated that temperature forecasts can be used to predict mortality up to 8-11 days in advance, while another paper introduced Spatial Bayesian Distributed Lag Non-Linear Models for estimating temperature-related mortality risks at small-area scales.

In the upcoming months, we will continue exploring the major determinants of human mortality across a range of relevant spatiotemporal scales, including several environmental, socioeconomic and demographic factors.
Mortality increase associated with a 10 µg/m3 rise in major air pollutants.
Vulnerability to heat (red) and cold (blue) associated with major socioeconomic factors.
Weekly temperature and heat-related mortality numbers in Europe during the summer of 2022
Comparison of heat and cold-related risks of death between urban and rural populations.
The summer of 2022 within the context of rising temperatures in Europe
Number of annual days exceeding WHO’s 2021 guidelines for PM2.5
Mon livret 0 0