Skip to main content
Go to the home page of the European Commission (opens in new window)
English English
CORDIS - EU research results
CORDIS

Probing New Physics at the Large Hadron Collider: the Effective Field Theory Pathway

Periodic Reporting for period 3 - EFT4NP (Probing New Physics at the Large Hadron Collider: the Effective Field Theory Pathway)

Reporting period: 2025-01-01 to 2025-08-31

The Large Hadron Collider (LHC) and any future particle physics experiment aim to find deviations from the predictions of the Standard Model (SM), the theory which encapsulates the best of our knowledge about fundamental particles and their interactions. Existing data have not shown any signs of new light particles which suggests that beyond the Standard Model physics could be heavy. Therefore the Standard Model Effective Field Theory framework (SMEFT) can play a crucial role in probing New Physics. The Standard Model Effective Field Theory is a theoretical framework which allows us to parametrise deviations from the SM and to fully exploit the precise experimental results from collider experiments. Determining the parameters of the EFT will shed light on the nature of New Physics and will provide hints to the most important questions in particle physics, such as the shape of the Higgs potential, its relation to electroweak baryogenesis and the amount of CP-violation in the Universe and its connection to the matter–anti-matter asymmetry. In this endeavour precise theoretical predictions play a crucial role and this is where the project aims to make vital contributions. The project will provide precise theoretical predictions for the EFT and will interpret experimental data to reveal deviations from the SM or extract constraints on the scale and nature of New Physics.

In particular the project aims at making essential beyond the state-of-the-art theoretical contributions to the LHC SMEFT programme by:
1. Providing the computation of higher order corrections for the EFT predictions and a public Monte Carlo implementation, to allow theorists and experimentalists to perform realistic simulations relevant for any collider experiment.
2. Combining accurate theoretical predictions with LHC data to constrain the operators of effective field theory through a novel robust global determination. The findings, particularly if different from the SM expectations, will point to the scale and nature of New Physics. Projections can be used to determine the physics reach of proposed future colliders. Constraints obtained within the EFT will then be translated to constraints on particular beyond the SM scenarios.
3. Tackling new challenges, such as i) the impact of operator running and mixing on the predictions for the LHC and other colliders, particularly relevant when observables with different energy scales are considered and ii) the optimisation of ways of extracting the Higgs self-coupling and of probing CP-violation at the LHC, two topics with profound implications for our theoretical understanding of particle physics.

By achieving these goals, the project will play in crucial role in maximising the potential of the LHC, High Luminosity LHC and any future collider in probing New Physics through the Effective Field Theory framework.
During the first half of the project, several important results have been achieved by the EFT4NP team. Several milestones have been reached, as summarised below.

1) The automation of next-to-leading QCD corrections for the EFT has been achieved and several phenomenological studies have employed this implementation to provide precise predictions for various LHC observables. This has allowed us to construct optimised observables and provide precise predictions for these, enabling us to maximise the sensitivity of measurements to new particle interactions as predicted by the EFT. These studies have demonstrated the importance of higher order corrections, which are also vital to reliably interpret measurements within the EFT.

2) We have achieved the most global EFT interpretation of measurements from collider experiments. This interpretation considers the largest number of degrees of freedom to-date, with 50 Wilson coefficients, the largest experimental dataset and precise theoretical predictions, along with a robust statistical framework. The results show stringent constraints on the Wilson coefficients of the effective field theory and thus on the scale of New Physics. This novel interpretation allowed us to reliably predict the physics reach of future projects such as the Future Circular Collider (FCC). These important results also reveal which particle interactions remain poorly constrained and thus motivate future studies to improve our sensitivity, a direction followed by the team in several other projects.

3) Another novel outcome of the project has been the automation of extracting constraints on beyond the SM scenarios through the EFT. With our work we have achieved to set constraints on a wide range of UV complete models, thus bounding the masses and couplings of particular scenarios. This is the first time that one can automatically extract constraints on new physics models through a global EFT interpretation. These results have been extracted both for the LHC but also the FCC, which would be able to exclude masses of up to 100 TeV for particular scenarios. As such the project is providing crucial input into the decision making process on the next multinational collider project.

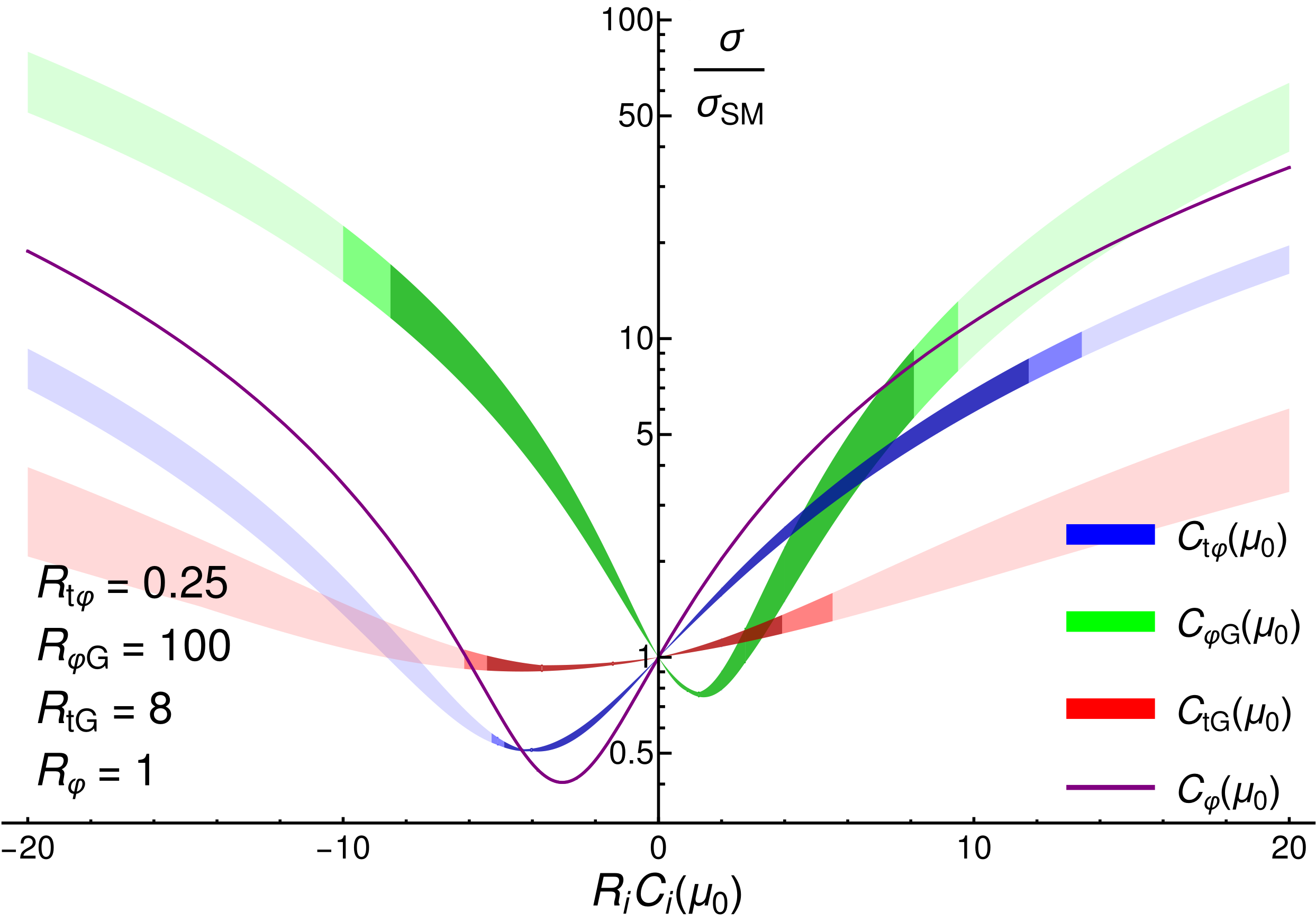
5) Significant progress has been achieved towards including renormalisation group running and mixing of the Wilson coefficients in the theoretical predictions. This is crucial as global EFT interpretations involve a range of processes with different associated scales and as we go from one scale to another the strength of the interactions is modified. The team has included these running and mixing effects in a public Monte Carlo generator, which allows us to automatically produce results include these effects for all LHC observables. Our studies have demonstrated that these effects are numerically important and vital in a programme of precise EFT interpretations of measurements. To further improve the precision we are currently working on the computation of these effects to higher loop order, which will lead to unprecedented precision in the theory predictions.

6) The team has also made significant contributions in the research field of Quantum Observables in Collider physics. This new and exciting field of research concerns the possibility of making quantum measurements at the high energy environment of colliders. This has also motivated the observation of quantum entanglement, a defining property of Quantum mechanics, in top quark pair production by CMS and ATLAS. The correlations between the spins of the two tops produced in the collisions have been found to be so strong that they cannot be explained by classical physics. The EFT4NP team has made significant contributions towards establishing the prospects of observing quantum entanglement and violation of Bell inequalities in the top sector both at the LHC and future lepton colliders within the SM and in the context of New Physics scenarios. Our work has shown that Quantum Information observables at colliders are not only exciting, but can offer new leverage in probing new physics.

Finally the team is working within several other directions in the context of precise predictions in the EFT, such as 1) the computation of Electroweak corrections in the EFT and thus establishing how important these one-loop EW contributions are in improving our sensitivity to new interactions and 2) the prospects of observing CP-violating effects at the LHC through dedicated observables in the top, Higgs and gauge sector.
The results obtained within the project push the frontier of theoretical predictions within the effective field theory framework into unprecedented precision. Firstly we have demonstrated that these higher order corrections are crucial to perform a campaign of precise interpretations of LHC data and have provided novel implementations of these results in public computing codes. These will allow the particle physics community, both theory and experiment, to benefit from our computations. Furthermore, the project has achieved the most novel, robust and global interpretation of data. Constraints set in this interpretation constitute a reference point for our current sensitivity to New Physics. Out results also allowed us to make robust predictions for the physics reach of proposed future colliders. The progress achieved so far paves the way towards even more precise computations, which will maximise the potential of collider physics in finding deviations from the Standard Model.
Cross-section for double Higgs production, including the effect of running and mixing
Constraints on Wilson coefficients at HL-LHC and FCC-ee
Entangled quantum states reached by top pair production
My booklet 0 0