Skip to main content
Go to the home page of the European Commission (opens in new window)
English English
CORDIS - EU research results
CORDIS

Engine bleed JEt pumps continuous behaviour MODelization

Periodic Reporting for period 2 - EJEMOD (Engine bleed JEt pumps continuous behaviour MODelization)

Reporting period: 2022-06-01 to 2023-03-31

In the new generation of aircrafts based on Ultra High Bypass Ratio (UHBR) engines, new bleed concepts are analysed to improve the overall efficiency and to improve the integration with the wing. An option under analysis consists of employing a jet pump which uses the engine bleed air as a primary motive stream to entrain and mix low pressure air as a secondary stream. By comparison to classic bleed systems, this leads to a reduction in the size of the pre-cooler, due to the significantly lower temperature of the air mixture. Moreover, reducing the amount of bleed air extracted from the engine leads to a lower power percentage loss for non-propulsive tasks, with the consequent reduction of fuel consumption. The ejector in such a system will encounter different modes of operation and a wide range of operating conditions, including transients and abnormal working conditions (e.g. ports closed). The control of such a system is crucial but challenging, and thus requires models covering all the operating envelope of the ejector.
In this regard, the EJEMOD project focuses on the study of the physics and operation of new ejector prototypes proposed by the Topic Manager. The main objective of the project is to acquire knowledge (numerical and experimental) on the functioning of these jet pumps, both in their steady (on and off-design modes) and transient behaviour (transition between operating points). The wide working range analysed and the focus on the transitional phases will serve to acquire knowledge and transfer it into accurate and robust Dymola libraries, applicable to the modelling of ejector devices whose function is also different to those previously described.
The work performed during EJEMOD has covered the analysis of the ejectors first under static operation, and in a second stage focusing on the operating transitions (characteristic time 1 sec, aligned with system valves). On both stages, a combination of CFD and experimental studies have constituted the methodology to get a consolidated insight on the ejectors behavior.
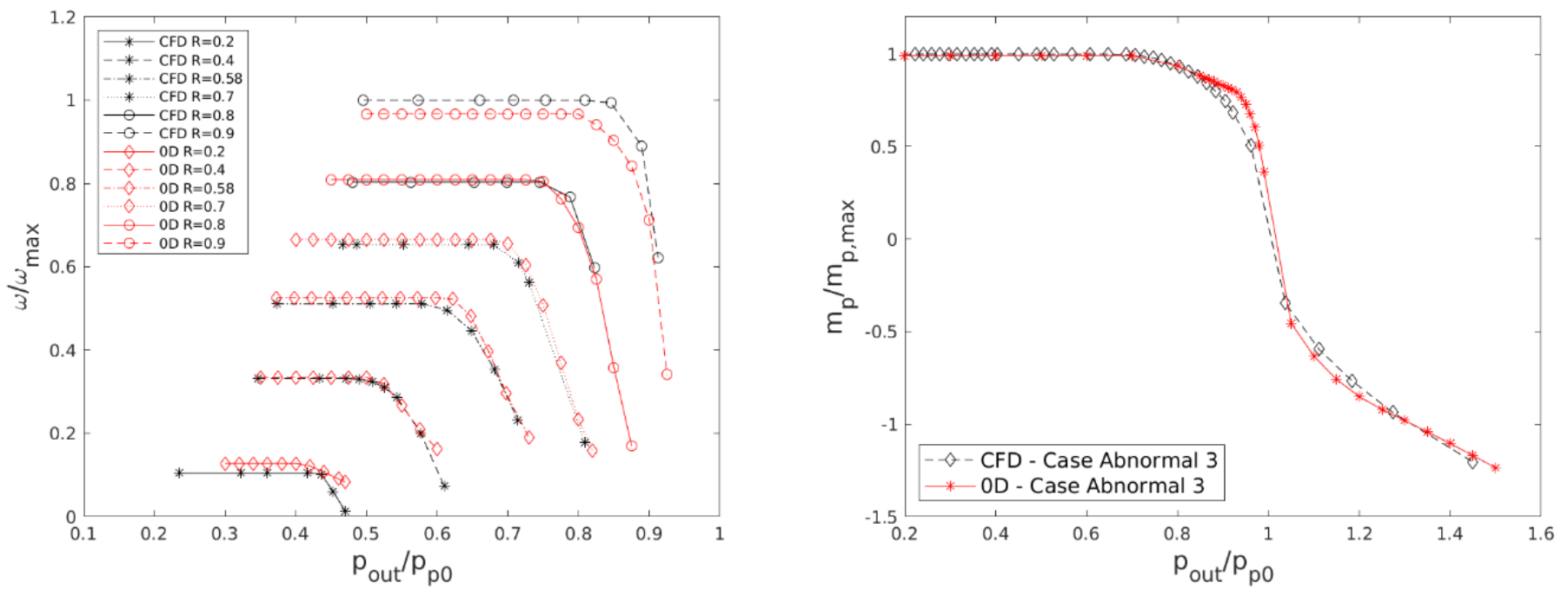
During the static analysis, a new operational map (Figure 1) has been generated, which enabled to categorize different situations of interest (modes and transitions), while covering the physics involved (choked, un-choked and reverse flows). A very intensive static CFD simulation campaign (Figures 2 and 3) has been carried out, which has revealed interesting physics and supported the development and calibration of the 0D static model (Figure 4).
In parallel to the numerical activities, an experimental set-up has been built (Figure 5), capable of providing air at the expected conditions. The ejector prototypes (Figure 6) have also been manufactured and instrumented to gather temperature, pressure and mass flow at each port, together with a very detailed pressure profile in the mixing chamber. An extensive static test campaign has been performed, collecting data for the referred Cases for the three ejectors of the project. Using this data, a validation activity has been done comparing successfully the 0D model predictions with the experimental results.
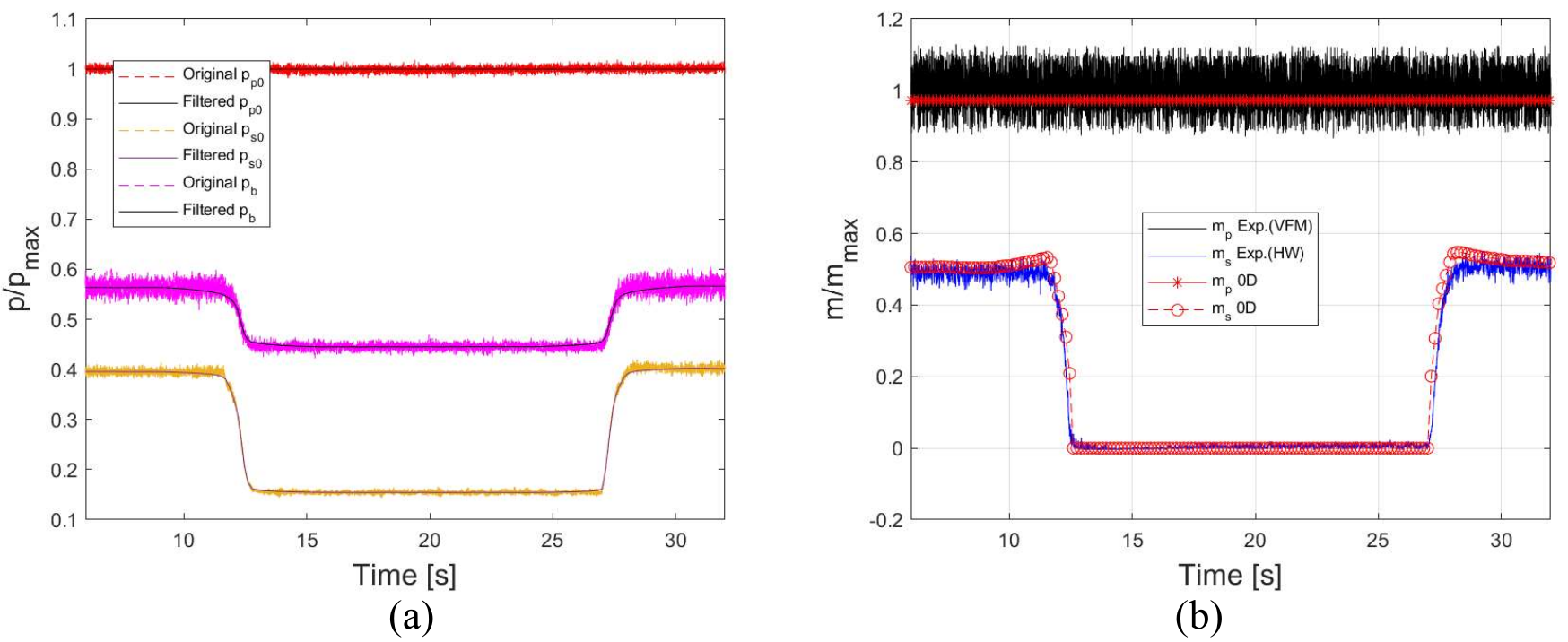
For the second stage of the project, the focus was reoriented towards dynamic analysis of the ejectors. After a CFD transient campaign the understanding of the physics have identified the ejectors quasi-steady nature for the situations of interest at system level (1sec opening/closing valves). Different scenarios have been studied, like step or ramp-like evolution of values at the ports at different pressure levels. This fact was also verified by a specific experimental study which compared a transition scenario vs. a succession of steady tests following the same profile.
After this conclusion, the work has shifted to describe experimentally the transitions of interest; adaptation of the test bench has been done accordingly by adding fast valves and hot-wire velocity measurements (Figure 7).
From all this knowledge and data, a 0D tool has been developed, validated (Figure 8) and integrated in Dymola (Figure 9) for static and transition scenarios. A parallel action has generated a surrogate model trained with the 0D model which can be implemented as a black box with an extended robustness perimeter.
As a summary of the results, the project has generated a huge amount of scientific data and knowledge on the behavior of air-air ejectors under a wide range of situations, both from static and dynamic perspective. The final 0D model has been progressing to finally reach a transversal capacity to cover the whole operational envelope with a reasonable accuracy. As commented, the generation of the surrogate model is acting as a robustness-oriented twin.
Regarding Exploitation expectations, they are twofold. On one side, the project model and know-how is expected to consolidate the innovative implementation of the ejectors in the bleed system, opening a clear exploitation route for the Topic Manager. On the Consortium side, the three research institutions are expecting to exploit the generated tools and knowledge to other research activities related to ejectors. Some related applications have already been identified, like implementation to enhance vapor compression systems or use in heat recovery systems.
The project has been disseminating the results after finishing the first reporting period. Five contributions to International Conferences have already been carried out, and two more are expected till end of summer 2023. Two journal papers are also under progress at this final stage.
The EJEMOD project, even for its static tasks, has gone beyond the state-of-the-art regarding the perimeter of cases analysed for an air-air ejector. There has been an extension of the normal mode approach (typical ejector characteristic curve) towards the inclusion of abnormal cases (closed ports) and of reverse flows. These novelties apply to the CFD studies, the experimental campaign and especially to the 0D model capable of extending the current available models. Of special mention is the capability of the 0D model to deal with subsonic conditions in the primary nozzle, which is a clear step beyond the state-of-the-art simplified models. Additionally, the CFD has revealed even for normal mode a more refined view of the choking conditions, identifying Fabri, Compount or Fanno choking modes as a function of the geometry and the pressure ratios.
From the transition studies perspective, the capability of the 0D tool also goes beyond any available tool in the literature or known ejector libraries, as being able to adapt the response through any path across the operational envelope in a robust way (changing the pressures at the boundaries).
The impact of the action is related to the fact that this technology is expected to be an enabler to facilitate the integration of more efficient large engines into the aircraft, by the reduction of the bleed-air system. Additionally, a reduced high-pressure bleed-air consumption is also obtained from the ejector mixing effect. Both aspects translate into a lower fuel consumption of the aircraft.
Indirectly, the increased knowledge of the ejectors behavior and the development of 0D models integrated in system level simulations, open space for optimization of the ejectors in other applications. The extension of the knowledge into abnormal modes and the improvement in the control of ejector operation has also an impact regarding safety operation.
Full ejector CFD Mach contour plot showing the characteristic shock train
Static 0D model comparison vs. CFD for normal (left) and close secondary abnormal (right) scenarios
G3 ejector prototype: 3D printed primary nozzle with the nominal cone and the three different adapti
Dynamic test bench particularities: fast valves, hot-wire sensors
Modelica model set-up: ejector model and integration within a representative system composed of thre
Ejector operational map and operating modes identification
CFD mixing zone analysis for different operating modes
Overall view of the ejector experimental set-up. Left: flow control and temperature section. Right.
Dynamic/transition test (closing/opening secondary) and comparison with the 0D model prediction
My booklet 0 0