Skip to main content
Go to the home page of the European Commission (opens in new window)
English English
CORDIS - EU research results
CORDIS

Magnetogenesis from Axion-SU(2) Inflation and applications to Gravitational Waves

Periodic Reporting for period 1 - MASUGRAV (Magnetogenesis from Axion-SU(2) Inflation and applications to Gravitational Waves)

Reporting period: 2023-10-01 to 2025-09-30

The origin and maintenance of magnetic fields is an outstanding question of modern cosmology and astrophysics. Dynamo and compression mechanisms during gravitational collapse accompanying the structure formation can only amplify existing magnetic fields, but cannot explain their genesis. The need for a “seed” field motivates the investigation of primordial origin of magnetic fields. The search for primordial magnetic fields is further inspired by recent gamma-ray observations of distant blazars (highly energetic active galactic nuclei with jets pointing toward Earth), which set lower limits on the magnetic field strength and suggest the existence of magnetic fields in intergalactic voids.

Primordial magnetic fields could have been produced either during inflation, a brief period of extremely rapid expansion that occurred fractions of a second after the Big Bang, or during subsequent cosmological phase transitions. Such fields could provide a natural explanation for the magnetic fields in the intergalactic medium, and also serve as a powerful probe of high-energy physics in the early universe. However, generating large-scale magnetic fields during inflation remains challenging, as they typically dilute or decay with the universe's expansion.

The goal of this project is to investigate a theoretically well-motivated scenario of magnetogenesis during axion inflation, where the axion, a pseudoscalar field commonly arising in high-energy theories, is coupled to Standard Model gauge fields. This coupling can lead to a strong amplification of gauge-field fluctuations, thereby improving the prospects for producing observable primordial magnetic fields. Specifically, the project focuses on the case where the axion couples to non-Abelian gauge fields (SU(2)), which possess self-interactions that can lead to qualitatively new phenomena in the early universe. We perform detailed analytical and numerical studies of the axion-SU(2) system to identify viable magnetogenesis scenarios, further investigating how key early-universe effects influence the generation of magnetic fields, and determine how these processes relate to the generation of primordial gravitational-wave signals, a complementary probe of inflationary physics.

By combining expertise in early-universe cosmology, high-energy theory, astrophysics, and advanced numerical tools, the project delivers precision predictions for the spectra of primordial magnetic fields and gravitational waves. These predictions will serve as theoretical templates for upcoming observational missions, facilitating direct confrontation between theory and observation. Beyond its scientific contributions, the project provides open-access computational tools for simulating gauge-field dynamics coupled to axions, empowering the broader research community to explore new aspects of the early universe and potentially uncover novel physics.
The project investigated primordial magnetogenesis during axion inflation coupled to non-Abelian gauge fields. A key finding is that such systems inevitably enter a strong backreaction regime, where amplified gauge-field perturbations significantly affect the background evolution. This regime was studied numerically in detail for the first time, and the analysis revealed the existence of a novel attractor solution. This attractor leads to a distinctive gravitational-wave signature characterized by an oscillatory pattern, potentially observable with future experiments.

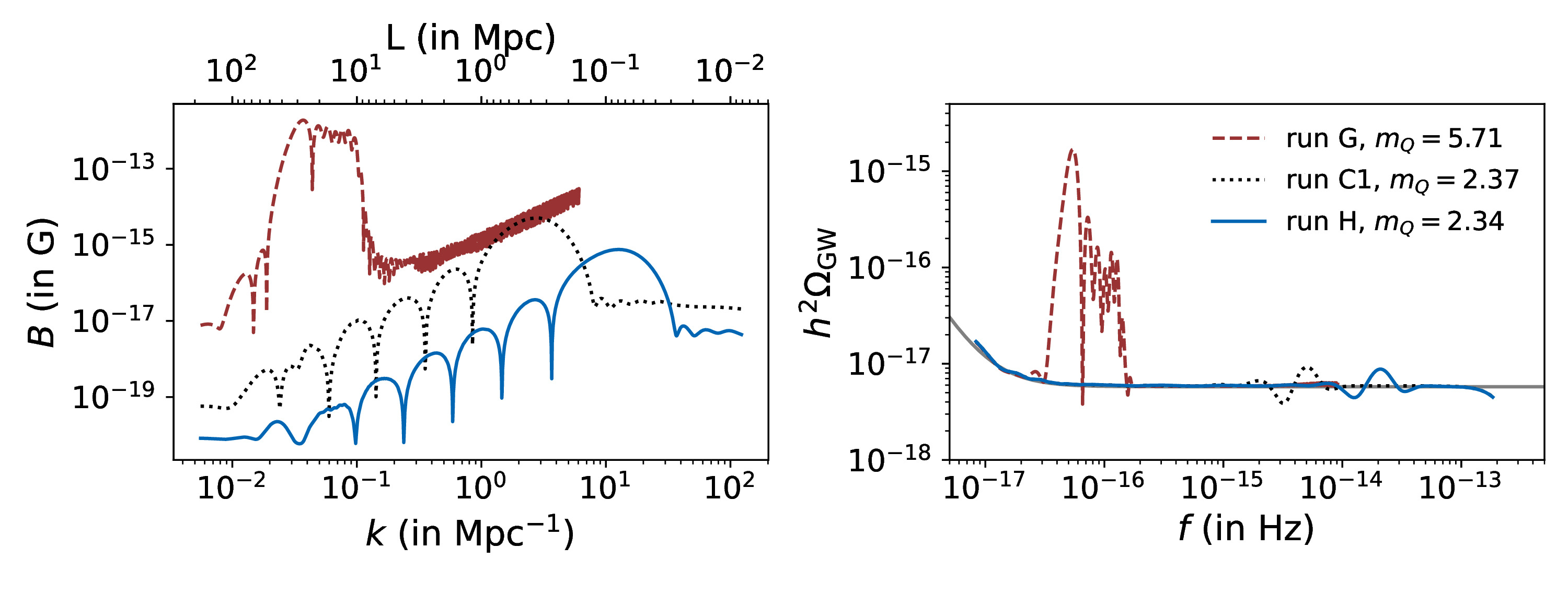
These results were applied to develop a consistent magnetogenesis scenario, showing that the backreaction regime plays a crucial role in sustaining primordial magnetic fields until the present epoch and preventing their decay. The findings demonstrate that axion-SU(2) inflation constitutes a viable model for primordial magnetogenesis consistent with blazar observations. Furthermore, this scenario predicts correlated signals in primordial magnetic fields and gravitational waves, offering complementary detection channels and enhancing the prospects for observational verification.

The project also performed the first lattice simulation incorporating the Schwinger effect, the spontaneous creation of electron-positron pairs in strong electric fields. This is a highly nontrivial process to model numerically. Our implementation shows that the Schwinger effect has a significant impact on magnetogenesis, substantially modifying the amplitude of the produced fields and proving essential for obtaining accurate predictions.

All these developments have been implemented into the Pencil Code, an open-source numerical framework, ensuring community access, transparency, and reproducibility of the results.

In addition, we studied the dynamics of axion-dilaton systems during the cosmological phase transitions, establishing a novel connection between axion dynamics and dark matter production. We also investigated the generation of scalar perturbations and the resulting non-Gaussianities during inflation, and developed a new method to identify inflationary trajectories in multi-field models without solving the full set of complex equations of motion.

Overall, the project provided new theoretical insights and computational tools that substantially advance our understanding of magnetogenesis, axion dynamics, and their interplay with gravitational-wave phenomenology in the early universe, with new connections to dark matter production.
This project has achieved several pioneering results that significantly advance the current state of knowledge in cosmology and high-energy physics. It establishes a novel scenario for primordial magnetogenesis arising from the interaction of axions with non-Abelian gauge fields during inflation, and identifies a new attractor solution emerging in the strong backreaction regime. This attractor produces a distinctive oscillatory gravitational-wave signature, offering a new observable prediction for future gravitational-wave missions.

Another major advance is the first lattice implementation of the Schwinger effect during axion inflation. This breakthrough opens a new direction for studying non-perturbative quantum processes in the early universe and provides a computational framework to quantify their influence on magnetogenesis and field evolution.

The project also develops a new theoretical framework for dark matter production, in which the axion field becomes trapped in a false vacuum during early-universe phase transitions. This mechanism links particle physics to cosmological observations and can be tested through both laboratory experiments and astrophysical data. In parallel, new analytical techniques for computing non-Gaussianities and methods for identifying inflationary trajectories without solving the full system of equations have been developed, providing versatile tools for a broad range of future studies in inflationary cosmology.

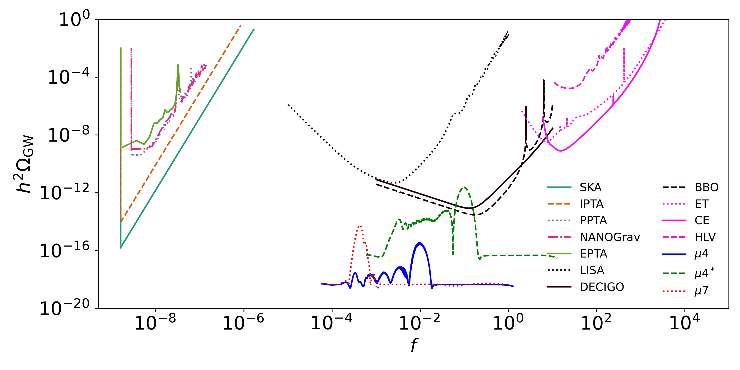
From an observational perspective, the results yield precision predictions for primordial magnetic fields and gravitational waves, offering theoretical templates for forthcoming experiments such as LiteBIRD, the Laser Interferometer Space Antenna (LISA), the Simons Observatory (SO), the Fermi Gamma-ray Space Telescope, the Cherenkov Telescope Array (CTA), and the Square Kilometre Array (SKA).

Collectively, these advances position the project at the forefront of theoretical and observational cosmology, providing a foundation for future exploration of early-universe physics.
Primordial magnetic fields obtained in this work (stars) compared to observational bounds.
Behavior of backreaction integrals in the weak, mild, strong backreaction regimes (left to right).
Correlation between primordial magnetic fields (left) and gravitational waves (right).
New backreaction attractor for the gauge field (left) and the axion field (right).
Gravitational wave sensitivity curves produced during the transition to the backreaction regime.
Parameter space regions corresponding to the strong backreaction regime.
My booklet 0 0