Skip to main content
Go to the home page of the European Commission (opens in new window)
English English
CORDIS - EU research results
CORDIS

The role of Von Willebrand Domain-containing Protein 8 in mitochondrial physiology

Periodic Reporting for period 1 - Mitobetes (The role of Von Willebrand Domain-containing Protein 8 in mitochondrial physiology)

Reporting period: 2020-04-01 to 2022-03-31

Mitobetes project aimed at describing the role of Vwa8 protein in mitochondrial physiology on cellular and whole body level. We proposed to study this protein based on the evidence that increase in Vwa8 protein levels have been associated with increased obesity and diabetes. Our preliminary data has been also showing the correlation with Opa1 (comigration on native gels and coexpression during Norepinephrine-induced browning of mesenchymal cells). We expected, that studying this protein would allow us to understand how Vwa8 protein can contribute to obesity and diabetes progression since both diseases belong amongst most abundant in European population. Therefore, also the dissemination activity was focused on obesity and diabetes prevention.
I took the advantage of Crispr Cas9 technology and created Vwa8 knock-out in Hek, HepG2 and MEF cells to understand the role of Vwa8 in mitochondrial physiology (WP1). In addition, we have established the collaboration Prof. Massimo Zeviani, who has the fibroblasts from Vwa8 patient. We did not observe significant changes in mitochondrial respiration using permeabilized Hek cells, but we have noticed changes in intact respiration on different substrates indicating the role of Vwa8 in mitochondrial substrate selection for respiration. To understand the molecular mode of Vwa8 action we performed several immunoprecipitations followed by mass spectrometry quantification and found potential interacting partners. Based on immunoprecipitation data and mitochondrial morphology analysis we were able to assess the Vwa8 and Opa1 relationship (WP2). I also characterised the Vwa8 KO mouse model, which showed increased fatty acid oxidation in plasma and increased browning of subcutaneous adipose tissue (WP3).
The proposed research project was separated into three working packages covering five milestones. First three milestones (M1-3) were included into the first working package and second with third had each one (M4 and M5).
1.2.1 Work Package 1: Determine the Vwa8 role in mitochondrial bioenergetics, structure and apoptosis
In the WP1 we planned to characterise the Vwa8 role in the KO cell lines with respect to bioenergetic profile (M1), mechanism of action (M2) and potential interactors (M3).
I have prepared 3 different KO models (HEK, HepG2 and MEF). First, we checked the mitochondrial ultrastructure (Fig.1) and did not observed any differences in mitochondrial shape or cristae morphology.
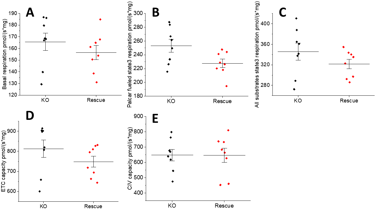
We have measured the respiration of the Vwa8 HEK KO cells in comparison to rescue cells expressing the full length Vwa8 protein (Fig2). We observed decrease in respiration parameters in cells with reintroduced Vwa8 protein. Therefore we checked, if the Vwa8 might play a role in mitochondrial substrate utilization. The Vwa8 rescue cells utilized slightly better glucose and butyrate, but were same on glutamate. The Vwa8 KO cells showed significantly increased respiration on octanoate as well as on carnitine and slightly increased utilization of palmitate and linoleic and oleic acid, both supplemented with. It might be explained by levels of Carnitine Palmitoyltransferase 2 (CPT2), which were upregulated in Vwa8 KO cells. We also observed increased CD36 glycosylation in Vwa8 KO cells, indicating increased fatty acid uptake (Xu et al., 2013).
1.2.2 Work package 2: Address if Vwa8 requires Opa1 for its function
Moreover, we also tried to immune-precipitate Vwa8 and check for Opa1 on SDS-PAGE, but we did not see any Opa1 signal. To understand what are the actual binding partners of Vwa8, we again immune-precipitated the Vwa8 using either magnetic beads or sepharose beads conjugated with the Vwa8 antibody. The only significant interacting partner is NUDT12 protein, which is Peroxisomal NADH pyrophosphatase (Abdelraheim et al., 2003). This protein probably came from Vwa8 peroxisomal localization. Unfortunately, we did not find any mitochondrial hit, which would be significant.
1.2.3 Work package 3: Address if the phenotype of Vwa8 KO mouse is complemented by Opa1
At first, we measured metabolic activity of Vwa8 KO mice. The Vwa8 KO mice differed in O2 consumption and CO2 production. Therefore, we have checked the its ratio, described as resting energy requirements (RER). Interestingly, when mice are resting and starving, we observed lower numbers for RER, indicating preferential utilization of fatty acid (0.7) instead of glucose (1). We have also noticed higher heat production during the resting phase of the day in Vwa8 KO mice. We found increased mitochondrial biogenesis in subcutaneous adipose tissue of Vwa8 KO mice, increased levels of UCP1 and decreased levels of ATP synthase. From plasma metabolomics, we have observed decrease in total triglycerides in fasted Vwa8 KO mice, as well as total amount of free fatty acids.
We have also measured glucose and insulin tolerance tests and observed, that Vwa8 KO mice are more insulin sensitive.
The dissemination between my colleagues was done through the regular labmeetings and biweekly communication with Prof. Scorrano. Dissemination outside of the lab have been secured via presenting at mitochondrial meeting at the University of Padova in June 2021 and Bioenergetics meeting in Czech Republic in November 2021. For both I was giving a 30minutes lecture on The role of Vwa8 in mitochondrial physiology. I have also write the primer called “Shaping fuel utilization by mitochondria” for Current Biology journal, which is now under the revision. The paper describes how mitochondrial dynamics is shaped by metabolism and how metabolism can shape mitochondrial dynamics. I have set up the twitter account, where I occasionally tweet about mitochondrial biology as well as blog with two articles about different diets and fasting at scienceofhealthyaging blog (https://scienceofhealthyaging.blogspot.com/(opens in new window)). I have also participated in Padova researches night at the department of biology booth with poster about human body and coloring pages for kids 24.9.2021. I have also attended online course organized by MSCA Italy chapter – Science talk communication series (15th Feb. – 31st March). I was also interviewed by UNIPD research office (https://www.unipd.it/en/msca-alan(opens in new window)) and by Czech research and science website (https://vedavyzkum.cz/z-domova/z-domova/v-msca-maji-uspech-inovativni-projekty-s-prinosem-pro-eu-rika-lukas-alan(opens in new window)). Moreover, I have also attended the MSCA Marathon to transfer my experience with MSCA fellowship and application to other MSCA candidates with UNIPD.
We expect to publish our results within next year or two. We need to check the proteomic profiles in selected tissues (heart, subcutaneous and brown adipose tissue) as well as their metabolic profile.
We would like to continue developing this project by searching for inhibitor of Vwa8 protien. With that in our hand we expect to be able to modulate sustrate utilization in mitochondria toward fatty acid oxidation and prevent storage of fat. The inhibitor might also affect subcutaneous adipose tissue and induce its browning, which will be beneficial for burning fat depots. Browning of subcutaneous adipose tissue is also thought to improve the insulin sensitivity. Therefore at the end of the day we expect to have the inhibitor which will help to obese and diabetic patients.
Figure 2: Bioenergetic characterization of Vwa8 KO HEK293 cell line. A. Basal respiration without an
Figure1: Electron microscopy of mitochondrial ultrastructure. HEK Vwa8 KO is shown in (A), full-form
My booklet 0 0