Skip to main content
Weiter zur Homepage der Europäischen Kommission (öffnet in neuem Fenster)
Deutsch Deutsch
CORDIS - Forschungsergebnisse der EU
CORDIS

UAV ENGINEER FOR OPTIMISATION OF FIREFIGHTING DRONE STABILISATION

Periodic Reporting for period 1 - HOPPERSUP (UAV ENGINEER FOR OPTIMISATION OF FIREFIGHTING DRONE STABILISATION)

Berichtszeitraum: 2020-10-15 bis 2022-03-14

• What is the problem/issue being addressed?
The main problem was solving and addressing the new innovative UAV that was designed by Drone Hopper for forest fire fighting, the new UAV was in need to evolve the attitude control and enhance the stabilisation of the system to reach the required robustness and reliability of required operations, in order to increase payload capacity (water tank) from current 150L to 600L.
In addition, the issues being addressed was:
improving the stabilisation control of DRONE HOPPER platform technol-ogy.
Integration of new developments in the different product lines (Duty Hop-per, Agro Hopper, Urban Hopper and Wild Hopper).
Integration for a new innovative platform.
enhancing the excellence of Drone Hopper R&D department with an in-ternational researcher with experience in flight control (which was achieved during this project).

• Why is it important for society?
The project is important to the society due to the need to overcome the damage of the forest fires that effect the European economy.
After a lot of research, it was found that, In Europe, fire represents an important issue due to economic losses, environmental disasters, and human death. In the last decade, the European parliament sheds light upon this problem by dealing with the community project” Forest Focus”.


• What are the overall objectives?
The objective is to evolve the attitude control and stabilisation in order to increase the UAV´s payload capacity (water tank) from current 150L to 600L. For the achievement of this objective, the following specific technical objectives were established for the Associate´s innovation action:
▪Revision of the top-level requirements for the drone platform stabilisation under high payload conditions.
▪Novel approach for evolving towards a more robust attitude control system.
▪implementation of the proposed advancements, in cooperation with R&D team inside Drone Hopper.
▪Laboratory testing of the novel software for attitude control and stabilization, dealing with Carlos III University.
▪Plan for its implementation in a new drone prototype, including hardware integration, prototyping, validation plan and lab testing.
The overall project was planned to be completed in 12 months with the tasks distributed in three WP. WP1 compiled the tasks of planning and implementing the training courses panned of the EC and the tailored training programs organized by Drone Hopper internally (R&D, CEO, and CTO), and in collaboration with Matical Innovation and UC3M. The core training with EC mainly contributed to the enhancement of the Innovation management skills. The tailored training with the company personnel and UC3M contributed to the enhancement of advanced control system development knowledge.
Through the project work plan the researcher had defined the top level requirements for the desired system, studying the existing attitude control system with its limitations and requirements in order to solve the existing problems and enhancing the system, designing and implementing a new software for the advanced control system, performing all the experimental and test development through lab test environment, and resulting in accurate results that were published into high level journals and conferences during the 12 months (8 research papers).
Through the project, the researcher has accomplished all the courses that were planned at the beginning of the project by gaining the EC certification through participating into the core training programme of the EC, gaining a certification from Matical Innovation through the tailored program organized by Matical and Drone Hopper, and ending by the certification gained from Carlos III University through the course organized by it.
The project objectives were achieved by the researcher, i.e. as well as administrative and project management activities were also carried out throughout the span of the project. Under these activities were also covered the communication, dissemination and exploitation tasks, which were demonstrated efficiently through the planification of all the tasks, courses with the different formation centres to receive the course by the company and activities to be performed during the project.
The main focus of the project was to obtain a robust and stable control system for the heavy load UAV platforms being developed by Drone Hopper for firefighting operations.
The dynamic model of the project UAV has been changed many times to be customized as per the main objective. Firstly, the UAV was supposed to be with Electrical Ducted Fans (EDFs); this design, however, fails in harsh situations, when the fire is blaming catastrophically, several maneuvers will be needed and if an engine burns, this would be hard to control landing in addition to an architecture to be immune to one engine fails, flaps are provided to compensate for the stability.
The fuselage is made with a semi-rectangular geometry and a quite aerodynamic customization simulated in ANSYS FLUENT software. Propellers are designed to generate maximum thrust.
To continue, about the ducts which are magnificent novelties for the UAV during the designation. “Fig. 1” Modified to be short adequate for flap installment.

Figure 1 Flaps arrangement below the coaxial propellers, outside of the duct to influence maximum.

Figure 2 The Real Flap after finishing design and testing.
EDFs manufactured by Schuebeler and design are optimized for saving energy.
“Fig. 3” shows Various views of the UAV are revealed in this figure, including the vertical and horizontal dimensions (a); flap position, the center of mass (CoM), payload tank, and duct size (b); EDFs and four coaxial pairs of propellers (c); EDF angle of incidence, EDF wall, and Body frame (d).

Figure 3 Schematic of dynamical coordinate systems.

Figure 4 The real EDF.
Results and potential impacts:
The new control system developed contributed to the augmentation of the designed aircraft by supporting the desired payload from 150L to 600L.
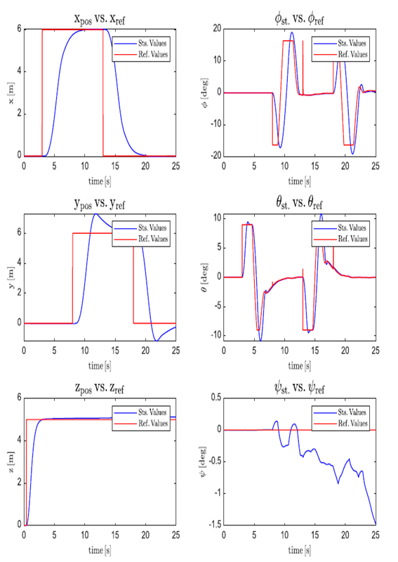
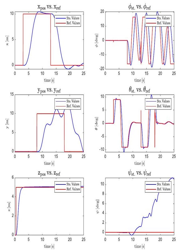
Through the researcher work, the UAV stability and state was measured regarding to the positions and attitude with different parameters as shown in Fig.5 6, and 7.

Figure 5 Comparison of the drone state and reference positions and attitude angles, when X_"ref " =6" " m,Y_"ref " =6" " m, and Z_"ref " =5" " m and both flaps and EDFs are utilized.

Figure 6 Comparison of the drone state and reference positions and attitude angles, when X_"ref " =6" " m,Y_"ref " =6" " m, and Z_ref=5" " m and only EDFs are utilized.

Figure 7 Comparison of the drone state and reference positions and attitude angles, when X_"ref " =6" " m,Y_"ref " =6" " m, and Z_"ref " =5" " m and only flaps are utilized.
Through Fig. 8, it is cleared that the position and attitude variables are dependent, since the position values are issued by the reference block, and then through the guidance loop, attitude desired values are computed.

Figure 8 A full schematic diagram of the guidance and controller loop.

Once the system was designated to be controlled only by flaps, then only by EDFs, and finally, equipping both, concurrently. The benefit of using such a system is controlling the attitude, using flaps and EDFs, and increasing the flight time endurance by using gas engines; all these points are converted to a huge benefit, which is the ability to increase the capacity payload of the system from 150L to 600L.
figure3.png
figure10.png
figure11.png
figure15.png
figure9.png
figure13.png
figure-1.png
figure12.png
figure8.jpg
figure4.png
figure6.png
figure7.jpg
figure2.png
figure5.jpg
figure14.png
Mein Booklet 0 0