Skip to main content
Vai all'homepage della Commissione europea (si apre in una nuova finestra)
italiano italiano
CORDIS - Risultati della ricerca dell’UE
CORDIS

Fundamental properties and time-scan of QCD matter at high densities and temperature exposed by jet substructure in heavy ion collisions with CMS experiment at the LHC

Periodic Reporting for period 3 - QCDHighDensityCMS (Fundamental properties and time-scan of QCD matter at high densities and temperature exposed by jet substructure in heavy ion collisions with CMS experiment at the LHC)

Periodo di rendicontazione: 2023-10-01 al 2025-03-31

The main scope of this project is to understand the high-temperature limit of Quantum Chromodynamics (QCD). At the LHC we collide Lead (Pb) ions at ultrarelativistic energies and by concentrating nuclear matter at very high temperatures, we create a new state of matter called the Quark Gluon Plasma. This new matter has a very low density-to-entropy ratio, consistent with a quantum fluid. To study its microscopic structure, we use jets, energetic sprays of hadrons formed in the PbPb collisions, as tomographic probes. With jets and the modification in their internal structure relative to pp collisions, we want to understand:

a)What is the QGP color correlation length? The correlation length is a property of the medium arising from quantum interference of medium-induced emissions. It represents the minimum angular separation between partonic projectiles that the medium can resolve. An energetic antenna formed by two partons will interact with the QGP as a single color charge or incoherently as two emitters depending on the antenna opening angle. This is a fundamental QCD property that has not yet been exposed experimentally.
b)Can we identify a kinematic regime where the jets interact with the free quarks and gluons within the quantum fluid? When a projectile parton interacts with a free point-like particle within the QGP, it can acquire a significant transverse momentum that cannot be acquired if the parton scatters off a strongly coupled medium (a medium with no notion of quasiparticles). We search for hard (Rutherford-like) scatterings as a signature of the interaction with the quarks and gluons within the QGP.
c)Is the dead cone filled by QGP signal in heavy ion collisions? If so, can we use the dead cone to isolate and characterize such radiation?
d)Can we map the time evolution of the parton shower from the splitting kinematics?
High-energy proton-proton (pp) interactions at the LHC produce energetic quarks and gluons. These quarks and gluons, generically called partons, start a cascade process through which they fragment almost fractally until they produce the stable final hadron jets that we measure in the detectors of the CMS experiment. To study the cascade process and its building blocks and to test different aspects of the underlying theory, Quantum Chromodynamics, we develop algorithmic tools to reconstruct the shower starting from the measured final products, ie the hadronic jets. The parton cascade can be visualized using the primary Lund plane. The Lund plane is a 2D representation of the parton shower, where the horizontal axis represents the angle of each "node" of the shower and the vertical axis, their momentum scale. This representation allows the separation of perturbative and nonperturbative components or large-angle/small-angle regions of the cascade and we can constrain theoretical calculations and simulations in a modular fashion. The first experimental result within this grant is precisely the measurement of the primary Lund plane in proton-proton collisions at the LHC using the CMS detector. This is a complex measurement that requires multidimensional unfolding (correction of the distortion effects produced by the detector which has finite resolution and is not fully efficient, and the proton-proton collision environment). With this measurement[1] we have set constraints on models and calculations, we have performed the first worldwide measurement of large-R primary Lund plane, and we have individuated and solved the main challenges and complications such as fake emissions, swaps, the strong impact of tracking inefficiencies etc. Essentially, we've made the first step towards our final goal, which is the measurement of the parton cascade in heavy-ion (Pb-Pb) collisions, which is currently ongoing. This result was presented at multiple international conferences and workshops (Boost 23[4])


The second result[2] so far of the QCDHighDensity grant is the measurement of the substructure of jets recoiling against energetic photons in pp and PbPb collisions with CMS. This result is a breakthrough that explains why all previous measurements of jet substructure in heavy ion collisions at RHIC and the LHC showed narrowing in PbPb relative to pp. With our result, we have shown that the observed narrowing is the result of a selection bias. One can understand the selection bias with this analogy: there is a war and you notice that the planes that return from the battle are intact. This doesn't mean there is no destruction, it simply means that you don't see the planes that were destroyed. That's what happens when you measure jets in PbPb collisions: at a given jet energy, jets that are strongly quenched by the Quark Gluon Plasma (QGP) are filtered out from the sample. We considered Compton processes for which at LO there's a photon and a quark back-to-back in azimuth as the final products of the reaction. The photon is color-transparent, does not interact strongly with the QGP. As a consequence, if we measure the energy of the photon, we have a proxy for the energy of the recoiling quark, that cascades and produces a jet. By comparing the energy of the reconstructed jet and that of the photon, we can select the degree of quenching of the reconstructed jets, something that is not possible at the inclusive level. With this photon-jet topology, we have shown that the narrowing of the internal jet structure relative to pp appears when we select mildly quenched jets while a hint for broadening appears when we study strongly quenched jets, demonstrating the impact of the selection bias. The comparison to theoretical models shows the ability of our measurement to constrain important ingredients of the description of the parton cascade in the presence of the QGP, for instance, the elastic or Moliere scatterings or color coherence. This result was presented at multiple international conferences and workshops. (Boost 24[4][5])


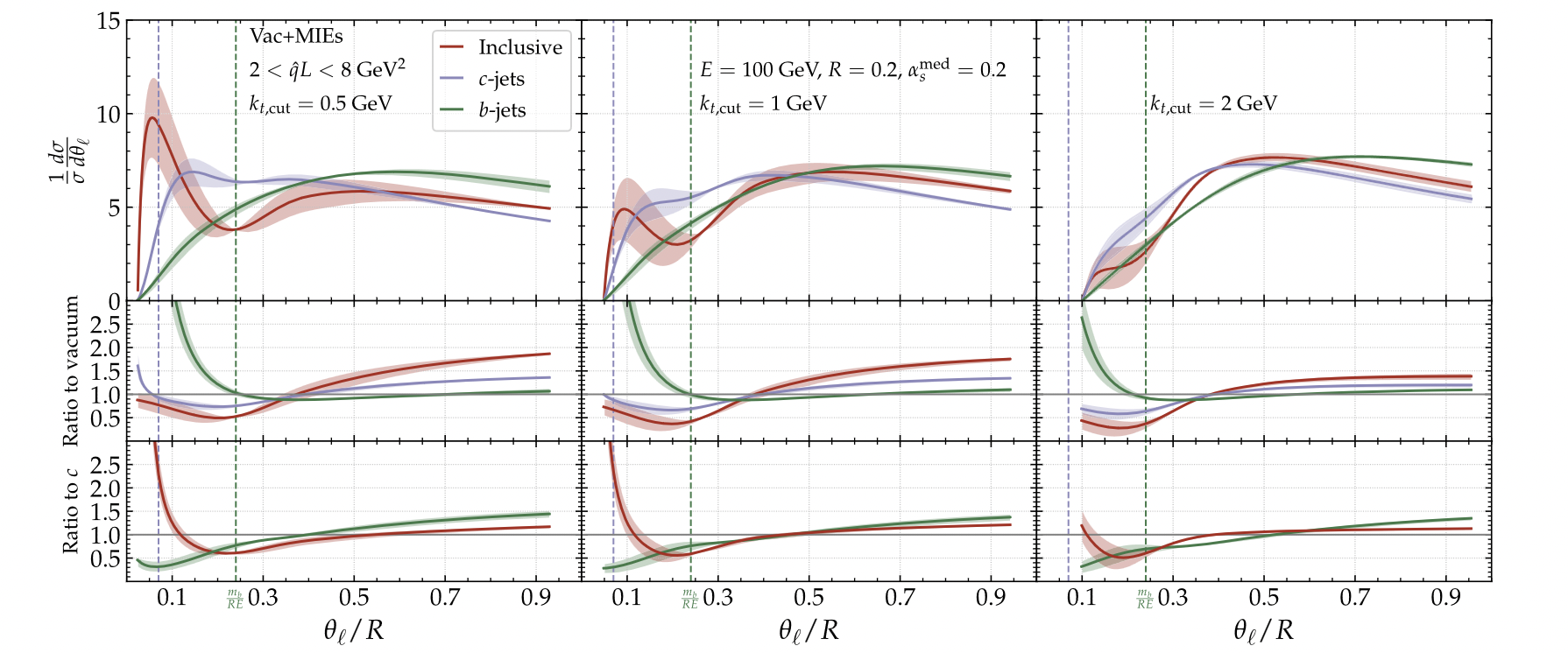
A third result within our QCDHighDensity grant is the development of a phenomenological tool to study the dead cone in heavy ion collisions[3]. Together with theory colleagues, we've developed a new grooming tool that allows us to penetrate the parton cascade and select collinear and hard emissions, increasing the sensitivity to quark mass effects. We have shown that the dead cone effect ( a region of phase space where gluon radiation off a massive quark is suppressed) can be used in heavy ion collisions to isolate QGP-induced signal. We have shown that there is an interesting interplay of scales in PbPb collisions by which the QGP signal is expected to fill the dead cone of the b-quarks but leave intact that of the c-quark. The experimental confirmation of this hierarchy will be a fundamental proof of the suitability of weakly coupled techniques to describe jet propagation in the QGP. This result was presented at multiple international conferences and workshops (Hard Probes 2023[6])


A fourth result within our QCDHighDensity grant is the measurement of the D-jet substructure in proton proton collisions, using the grooming techniques defined in [3]. For the first time at colliders, we were able to expose the dead cone of D-jets for energetic jets of transverse momentum of order 100 GeV [7]. This measurement proves the experimental feasibility and paves the path for the dead cone measurement in PbPb collisions. Our results featured in a CERN courier [8] and are currently submitted to the journal.

A fifth result within our QCDHighDensity grant is the first measurement of the vacuum-like part of the parton shower in heavy ion collisions. This measurement confirms that at sufficiently hard scales, the QGP-modified shower is vacuum-like. Our results featured in the CERN courier [10] and are currently under collaboration review.



[1] CMS Collaboration JHEP 05 (2024) 116
[2] CMS Collaboration, Phys.Lett.B 861 (2025) 139088
[3] Cunqueiro et al, Phys.Rev.D 107 (2023) 9, 094008
[4] C.Baldenegro https://indico.physics.lbl.gov/event/975/contributions/8312/(si apre in una nuova finestra)
[5] B.Harikrishnan https://agenda.infn.it/event/37093/contributions/234294/(si apre in una nuova finestra)
[6] L.Cunqueiro https://indico.uni-muenster.de/event/1409/contributions/2061/(si apre in una nuova finestra)
[7] https://cms-results.web.cern.ch/cms-results/public-results/preliminary-results/HIN-24-007/index.html(si apre in una nuova finestra)
[8]https://cerncourier.com/a/cms-peers-inside-heavy-quark-jets/
[9]https://cms-results.web.cern.ch/cms-results/public-results/preliminary-results/HIN-24-016/index.html
[10]https://cms.cern/news/looking-early-vacuum-emissions-jets-heavy-ion-collisions
The expected results until the end of the project are:

-First measurement of the dead cone in PbPb collisions using D and b-jets. We've developed the phenomenological tools, we've performed measurements in pp (currently 2 studies are in the process of publication) and the next step is to perform the measurements in PbPb collisions. Probing the filling of the dead cone in PbPb, and the interplay of the dead cone and decoherence scale will be a monumental step in the field.

-First measurement of the Lund plane in PbPb collisions. After the measurement in pp described above, we are working on the first measurement of the Lund plane in PbPb collisions. We expect to set strong constraints on the theory and some fundamental aspects like factorization of scales.

-We are currently testing an idea to expose experimentally angular ordering in QCD. Angular ordering is a fundamental property of QCD that has never been exposed directly at colliders.
Groomed jet substructure in gamma-jet events from [2]
QGP induced signal for b-jets, c-jets and light jets from[3]
Lund plane measurement from [1]
Lund plane sketch from [1]
Il mio fascicolo 0 0