Skip to main content
Vai all'homepage della Commissione europea (si apre in una nuova finestra)
italiano italiano
CORDIS - Risultati della ricerca dell’UE
CORDIS

Laser loop for engineering long-distance interactions in hybrid quantum systems

Periodic Reporting for period 1 - LASERLOOP (Laser loop for engineering long-distance interactions in hybrid quantum systems)

Periodo di rendicontazione: 2021-03-01 al 2023-02-28

The ability to control and manipulate quantum systems has given rise to new applications in fields such as quantum computing, quantum communication, and quantum sensing. One of the fundamental techniques used in controlling quantum systems is feedback.

Feedback techniques which are measurement-based rely on measuring the state of a system, processing the extracted information, and manipulating a specific actuator to drive the system towards a desired target state. However, this technique has a genuine drawback in the quantum scenario. The measurement irreversibly modifies the state of the system, leading to undesired backaction. Therefore, the question arises, is it necessary to measure a system to control it? It turns out, it is not. There is a different kind of feedback, known as coherent feedback, which does not require measuring the state of the system. Instead, one can process the quantum information encoded in the state by making the system under control interact with another one, which can be a quantum mechanical one. Coherent feedback has the potential to improve quantum control techniques and provide new capabilities in a broad range of physical systems.

The project focused on exploring the potential of coherent feedback as an alternative to measurement-based feedback for controlling quantum systems, particularly in the context of atomic and optomechanical systems. The objective of the project was to investigate the performance and limitations of coherent feedback in atomic physics and optomechanics, with the goal of improving quantum control techniques over the motion of mechanical oscillators.
We developed and exploited experimental setups to engineer remote coherent interactions in both optomechanical and hybrid optomechanical-cold atom platforms. We have used these to investigate coherent feedback, a control technique that takes advantage of coherent interactions between two (quantum) systems. This method offers several advantages over the widely used measurement-based control techniques, since it preserves quantum signals, avoids classical noise feedback, and has the potential to use the information stored in orthogonal quadratures without the backaction associated with measurement-based protocols.

We have harnessed this technique to control the motional state of a nanomechanical oscillator and to cool it down close to its quantum ground state.

In our hybrid atomic-optomechanical system we coupled the vibrations of a nanomechanical resonator placed in a cavity to the collective spin of a cold rubidium atomic ensemble in a loop geometry (Fig 1). This was accomplished by sending a linearly polarized beam through the atomic ensemble where the signal from the collective spin was imprinted onto the polarization quadratures of the light via the Faraday interaction. These were then converted into an intensity modulation, coupling to the membrane motion through radiation pressure.

The vibrations of the membrane imprinted a phase shift into the light exiting the cavity , which we transduced into a polarization modulation that coupled back to the spin. By controlling the phase of the loop so that the second interaction with the atoms was the time-reversal of the first, the quantum noise of the light interfered destructively and suppressed the decoherence due to information leakage, effectively closing the system and rendering the interaction Hamiltonian.

This scheme allowed us to work in the strong-coupling regime, where the spin-membrane coupling strength dominated over local dissipation sources. The spin acted here as a controller in a zero temperature bath and the mechanical oscillator as the plant to be controlled, coupled to a thermal environment. By damping the spin system, the state swaps between the subsystems led to a lower steady-state temperature for the membrane.

We were able to improve this scheme thanks to the quantum control we have on the spin. By stroboscopically pumping the spin we showed that the steady state was reached twice as fast, yielding a membrane temperature of T = 216 mK in 200 µs in a room temperature environment (Fig 2).

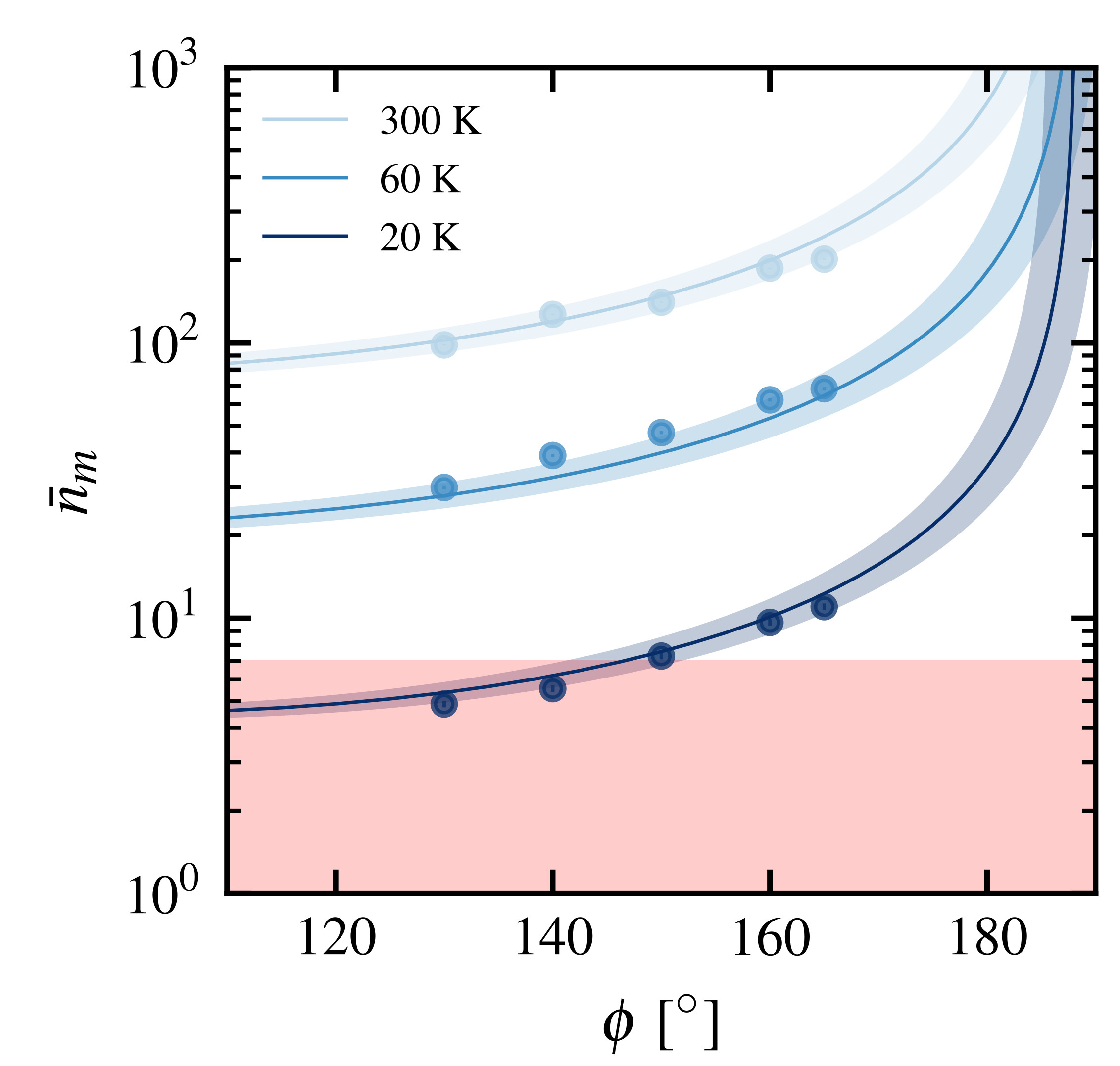
We also fully developed a new coherent feedback platform in an optomechanical system and used it to control and cool the vibrations of a nanomechanical membrane. In our coherent feedback setup a beam of light feeds back signals on a nanomechanical membrane placed inside an optical cavity, by making the beam interact with the membrane multiple times in a closed-loop geometry mediating self-interactions (Fig 3). The originality of the proposed feedback platform is that feedback is directly applied onto the mechanical mode, which interacts twice with the same light field, but on different cavity modes. This allowed to independently tune each interaction by manipulating the light field in between, introducing quadrature rotations and phase shifts, time delays, and in principle even nonlinear optical operations. Tuning the optical phase and delay of the feedback loop allowed us to control the motional state of the mechanical oscillator, its resonance frequency and damping rate, the latter of which we used to cool the membrane close to the quantum ground state. Our theoretical analysis provides the optimal cooling conditions, showing that this new technique enables ground-state cooling. Experimentally, we showed that we can cool the membrane to a state below 5 phonons (480 µK) in a 20 K environment (Fig 4). This lies below the theoretical limit of cavity dynamical backaction cooling in the unresolved sideband regime.

These results were published in:

- M. Ernzer*, M. Bosch Aguilera*, M. Brunelli, G.-L. Schmid, T. M. Karg, C. Bruder, P. P. Potts and P. Treutlein. Optical coherent feedback control of a mechanical oscillator. arXiv:2210.07674 [quant-ph] (2023) (Accepted in Phys. Rev. X).
- G.-L. Schmid*, C. T. Ngai*, M. Ernzer, M. Bosch Aguilera, T. M. Karg, and P. Treutlein. Coherent feedback cooling of a nanomechanical membrane with a spin. Phys. Rev. X 12, 011020 (2022). (also available at arXiv:2111.09802 [quant-ph])
The conceptual simplicity and versatility of the coherent feedback platforms we developed will allow it to be adapted to a great variety of atomic and optomechanical systems. The results obtained could find applications on quantum metrology and beyond, due to its relevance to the physics of quantum thermodynamics and control of quantum systems. One particular point of relevance is the possibility of dramatically improving the capabilities of sensors. Currently, many schemes rely on complicated protocols to achieve non-classical states in order to improve a sensor’s capability, in similar lines to what has been done with atomic sensors in the past decades. One of the main attractive points of the coherent feedback scheme we developed is its simplicity. Therefore this technique can be of use in a great variety of physical systems: It can work wherever a strong light-matter interface is available. It could thus directly be used in gravitational-wave interferometers and spin systems, and thus be of interest in atomic clocks. It can also be used in ion-trapped systems, nanolevitated particles, etc.
Sketch of the coherent feedback platform in the optomechanics setup.
Coherent feedback cooling close to the mechanical ground state.
(a) Membrane and (b) spin occupation numbers for continuous and stroboscopic cooling
Sketch hybrid atom-membrane setup.
Il mio fascicolo 0 0