Skip to main content
Vai all'homepage della Commissione europea (si apre in una nuova finestra)
italiano italiano
CORDIS - Risultati della ricerca dell’UE
CORDIS

Constraints on Non-Equilibrium fluctuations

Periodic Reporting for period 1 - ConNEqtions (Constraints on Non-Equilibrium fluctuations)

Periodo di rendicontazione: 2023-08-01 al 2025-07-31

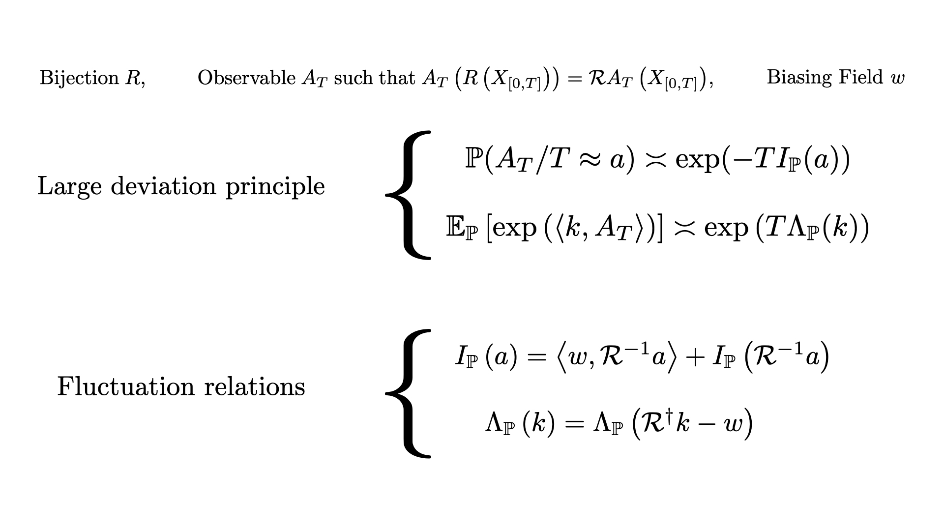
Continuous-time Markov chains are a useful tool to model non-equilibrium phenomena, like the diffusion of particles from higher density regions to lower density regions. The system evolves in time jumping randomly on a discrete set of allowed configurations, with specified transition rates, and interesting dynamical observables are functionals over the trajectories of the system (like the activity, that counts the total number of jumps). Interestingly, the probability distribution of these random observables may satisfy some constraints, largely independent from the specific details of the dynamics (based only on some hidden symmetries), called fluctuation relations. For instance, a fluctuation relation could state that the probability of observing a heat current from a cold region to a hot region is exponentially suppressed (in terms of the current magnitude and temperature difference) with respect to the reversed current, the one flowing in the “correct” way. In some cases these relations are valid at any time but most often they emerge in the long-time limit. This second case is mathematically more interesting because the machinery of large deviations theory comes into play. The question is then to show that these relations hold true in specific models of physical relevance and more in general to understand what are necessary and sufficient conditions for their validity.

Similar modeling techniques also exist in the quantum regime. Indeed, the dynamics of an open quantum system with monitored environment (photon counting) is well-described by a random density matrix satisfying a quantum jump process (the state of the system is conditioned on the measurement outcomes in the environment). The state averaged over the different realizations of the process obeys a Markovian master equation in Lindblad form. While interesting questions still need to be answered for the average dynamics of complex quantum systems, especially in the interacting case, a much less explored research line regards the statistics of the conditioned state, that contains more information. In particular, one could also study the large deviations of relevant (process dependent) observables.

The project ConNEqtions consisted of two parts, related to the investigation of non-equilibrium classical and quantum systems, respectively. On the classical side, the focus was on fluctuation relations, especially those induced by symmetries other than time-reversal. The initial goal was to generalize the results available in the context of time-homogeneous Markov jump processes to the case of time-periodic rates. On the quantum side, the aim was to improve our comprehension of complex systems out-of-equilibrium, focusing on the dynamics of interacting closed systems and open quantum systems. In particular, the most ambitious goal was to characterize the fluctuations in quantum jump processes with time-periodic rates, computing the level 2.5 large deviation functional (large deviations of the joint distribution of empirical measure and empirical current).
During the project, a comprehensive framework that allows to derive fluctuation relations for classical stochastic systems has been developed. That is to say, we identified very general sufficient conditions that imply the validity of fluctuation relations, unifying and generalizing previously published results. In particular, the analysis includes relations associated to generic bijections in path-space other than time-reversal, like spatial rotations and translations. For instance, we can compare the probability of two currents mutually rotated by an arbitrary angle and find cases where one of the two is exponentially suppressed (breaking of rotational symmetry). In turn, under some regularity assumptions, these fluctuation relations determine new constraints on the cumulants of relevant observables, whose physical significance has yet to be fully understood. With respect to the initial plan, the class of models investigated has been much richer. Indeed, examples of non-Markovian processes (i.e. processes with memory), like continuous-time semi-Markov chains, have been studied in some detail (also at the level of large deviations). Moreover, processes in continuous space described by stochastic differential equations (even with multiplicative noise) are included in the analysis. These results have been submitted to peer review and are available on arXiv:2503.16369.

Concerning quantum systems, results have been obtained in the effective description of the average dynamics. In particular, the validity of the fermionic Hartree-Fock-Bogoliubov equation has been proved for interacting fermions in the mean field regime. This result is published in Annales Henri Poincaré (2024) and is also available on arXiv:2310.15280. Moreover, finite quantum systems interacting with infinite bosonic reservoirs have been investigated. The dynamics of the finite system has been studied in the ultrastrong coupling limit, rigorously proving the emergence of the Quantum Zeno Effect. This result has been published in Quantum (2025) and is also available on arXiv:2411.06817. Investigations of the fluctuating dynamics in monitored open quantum systems have been conducted as well, but the available results are only partial and not yet ready for publication. In particular, the planned level 2.5 large deviation principle is still work in progress.
All the obtained results contribute to the understanding of non-equilibrium systems. The framework developed for classical stochastic systems has unified a number of outcomes available in the literature, showing the common mathematical structure that implies the validity of fluctuation relations. Importantly, it also gave a recipe to construct new relations. The reverse implication however is not yet clear (whether our sufficient conditions are also necessary), so that our work would possibly stimulate further research in the field. Moreover, the constraints on the cumulants deriving from the generalized fluctuation relations have not been explored enough and could lead to interesting and unexpected physical insight.

Deriving the effective dynamics of interacting fermions in suitable regimes is a very important problem in condensed matter physics and the source of interesting mathematical challenges. Our result was the first derivation with explicit error estimates of Hartree-Fock-Bogoliubov for pure states with nonzero pairing. Possible improvements would be related to including mixed states into the picture and considering more singular interaction potentials.

Open quantum systems strongly coupled to the environment are still much less explored than weakly coupled systems. Our result was the first to rigorously show the emergence of the Quantum Zeno Effect from the interaction of the system with the environment (the usual setting to derive the effect is based on repeated measurements). Further developments are planned around the description of the effective dynamics for large but finite coupling. Also, a new scaling regime could be introduced in order to resolve in finite time the decoherence process leading to Zeno.
Asymptotic Fluctuation Relations
Il mio fascicolo 0 0