Skip to main content
Vai all'homepage della Commissione europea (si apre in una nuova finestra)
italiano italiano
CORDIS - Risultati della ricerca dell’UE
CORDIS

Photonic Integrated Circuits on InP technology plAtform enaBling low cost metro netwOrks and next generation PONs

Periodic Reporting for period 2 - PICaboo (Photonic Integrated Circuits on InP technology plAtform enaBling low cost metro netwOrks and next generation PONs)

Periodo di rendicontazione: 2022-07-01 al 2024-06-30

PICaboo is a Horizon 2020 ICT project funded by the European Commission and the Photonics Public Private Partnership (PPP) which will develop novel building blocks compatible with the generic foundry model, and application-specific photonic integrated circuits (PICs) that will transform optical communication networks in terms of key performance parameters like speed, power consumption and cost. PICaboo will advance two major European InP PIC technology platforms (TUe and III-V Lab) with the integration of novel building blocks that will be used to design advanced PICs with novel functionalities that meet the requirements of industrial photonic application roadmaps. Technology development will rely on standardized procedures that comply with the generic process flow of each platform i.e. the process-design kit (PDK) platform libraries which describe the building blocks based on the set of fabrication rules and operating characteristics. Exploitation of the PICs that will be developed within PICaboo will be undertaken by its industrial partners, NOKIA and ADVA. Apart from the application-specific PIC demonstrators, the applicability of the developed building blocks will be investigated further for alternative applications in which photonics plays a key role, exploiting the respective PDKs for the design of new circuits. In this way, the developed building blocks will leverage the potential to penetrate additional established or emerging markets e.g. quantum, metrology and sensing. More specifically, PICaboo has the following technical objectives:
Objective 1: Development of a polarization handling toolbox on the InP technology platform of TUe.
Objective 2: Development of balanced photodetectors and widely tunable laser on the InP platform of TUe.
Objective 3: Development of a high speed Selective-Area-Growth enabled PIC platform operating in the O-band based on III-V Lab’s InP Semi-Insulated Buried-Heterostructure technology.
Objective 4: Development of low-loss passive structures, high-speed EAMs, gain sections and DFB lasers on the novel SAG-SIBH platform of III-V Lab.
Objective 5: Generation of physical models of the developed building blocks in the form of PDK-compatible libraries.
Objective 6: Development of a dual polarization coherent receiver PIC leveraging all-optical DSP functions for optical metro networks and datacentre interconnect applications.
Objective 7: Development of EAM-based transmitter PICs employing all-optical pre-equalization on-chip for next generation PONs and 5G/6G fronthaul applications.
Objective 8: Validation of the developed PIC demonstrators and exploitation of project foreground in relevant application areas.
WP2: Use cases, network scenarios, and KPIs were defined to establish system requirements for the project’s building blocks, sub-circuits, and PIC demonstrators. System-level simulations helped assess anticipated performance, informed the design of control electronics, and inspired new optical signal processing concepts. Compact models for passive and active components were developed, updated with initial measurements, and made compatible with TU/e and III-V Lab PDK libraries.
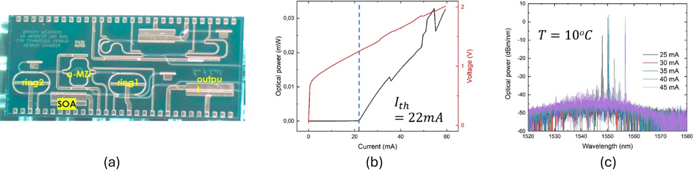
WP3: III-V Lab successfully developed photonic components on its InP platform, including the novel SIBH O-band platform for passive and active co-integration. The optimized two-step SIBH process reduced threshold currents, achieving low-loss waveguides, MMIs, and ring filters. Active components, such as EAMs and tunable DFB lasers, demonstrated high performance with broad tunability and robust output power.
WP4: TU/e advanced photonic component design on its InP platform, optimizing lithography for high-resolution polarization handling elements. Balanced photodetectors achieved high responsivity and sufficient bandwidth, supporting coherent receiver applications. Various tunable laser designs reached linewidths of 100 kHz and up to 40 nm tunability, crucial for the platform's goals.
WP5: Key photonic circuits and advanced PIC demonstrators were developed and packaged, with requirements defined through mechanical, electrical, RF, thermal, and optical coupling simulations. Tx-side PICs included an all-optical pre-equalizer and an EAM-MZM, while Rx-side sub-demonstrators like polarization controllers and balanced photodetectors supported a single-polarization coherent receiver.
WP6: Testing methodologies and high-speed testbeds were established to validate the project outcomes. Control electronics for Tx- and Rx-side PICs were integrated, with Tx-side devices evaluated in 50G PON setups and Rx-side devices tested against KPIs to confirm functionality for next-gen access networks.
WP7: Standardization activities were monitored to align PICaboo’s technologies with industry standards, while technology advancements and market trends informed strategic exploitation plans. Two inventions led to patent applications, and four innovations were submitted to the EU Innovation Radar. A booth at OFC 2024 and a strong online presence fulfilled all dissemination KPIs, with the communication kit available online: https://ict-picaboo.eu/communication-kit/(si apre in una nuova finestra).
PICaboo has made significant advancements in the state-of-the-art by developing novel building blocks and PIC demonstrators. While primarily focused on applications in Passive Optical Networks (PON) and metro/DCI networks, the project’s innovations extend beyond these areas by following the generic foundry model, supporting a broad range of applications. To enable these advancements, both foundries enhanced their platforms and developed new processes to construct these building blocks effectively.
On the Tx-side, PICaboo investigated both IM/DD and coherent solutions to address the requirements of next-generation PON equipment. The former was developed, incorporating an architecture that reduced transmitter chirp and achieved a higher dynamic extinction ratio, significantly improving resilience to transmission impairments. The developed all-optical equalizer has also shown promising results in mitigating transmission limitations, further advancing the capabilities of IM/DD systems. On the Rx-side, PICaboo developed key polarization-handling components to reduce DSP power demands in coherent technologies and provide insights into signal impairments due to fiber propagation. This work led to two Dutch patent applications for the polarization phase shifter and polarization controller. By building compact models, PICaboo ensured the integration of these building blocks into the PDK libraries of both foundries, facilitating fast prototyping and expanding the potential of photonic integration across diverse applications.
Lithography process
all-optical pre-equalizer
overlay of intra-cavity lasers
EAM-MZM
laser circuit
Rx-side demonstrators
Il mio fascicolo 0 0