Skip to main content
Weiter zur Homepage der Europäischen Kommission (öffnet in neuem Fenster)
Deutsch Deutsch
CORDIS - Forschungsergebnisse der EU
CORDIS

Does Public Funding Matter? The Effect of State Subsidies to Political Parties on Political Corruption

Periodic Reporting for period 1 - PFCorr (Does Public Funding Matter? The Effect of State Subsidies to Political Parties on Political Corruption)

Berichtszeitraum: 2020-11-01 bis 2022-10-31

The research project investigates the effect of direct state funding of political parties on political corruption with a specific focus on post-communist states (1990-2020). It asks whether more generous support provided by the state to political parties undermines their involvement in corruption.
The project answers this question by using actual data on direct public funding of political parties and assessing whether it diminishes corruption.
More specifically, to achieve this goal, the project aimed to:
• Create and make publicly available a dataset on the actual level of direct public funding to political parties across 27 post-communist regimes, including other indicators such as eligibility and distribution rules;
• Employ alternative political/party corruption measures that are not exclusively perception based to assess the relationship between the level of direct public funding and corruption;
• Estimate empirically the impact of direct public funding of political parties on political corruption using panel data models;
• Incorporate the empirical results into a broader normative discussion and contribute to an evidence-based policy debate on the relationship between political finance reform and corruption.
To achieve the project objectives, the MSCA fellow carried out various activities
Research methods training
The fellow has undertaken several method training workshops throughout the project’s lifetime. The quantitative skills training included:
1. ECPR Method Winter School (15–26 March 2021)
2. ECPR Method Summer School (2–20 August 2021)
3. ECPR Method Winter School (7–18 February 2022)
4. Panel and Pooled Data Analysis Workshop (15–19 August 2022), University of Bergen
This training helped the researcher to strengthen his R skills and organise, with the logistical support of DCU Anti-Corruption Research Centre, a two-day workshop on “Introduction to Data Management and Visualisation in R” (4 & 11 May 2022) as a part of the knowledge transfer from the fellow to the host institution.

Communication, dissemination and exploitation
The project’s results were communicated and disseminated through drafting and submitting research articles in peer-reviewed journals and participating in international events as a paper presenter, panel discussant, and workshop organizer. More specifically, the researcher participated in the following international events:
1. ECPR General Conference (30 August–3 September 2021). Panel: Innovative ways to curb corruption. Paper presenter.
2. 79th Annual Midwest Political Science Association Conference (7-10 April 2022). Panel: Dilemmas and Challenges in the Post-Communist Space. Paper presenter and discussant.
3. ECPR Joint Sessions, The University of Edinburgh & Online (19–22 April 2022). The researcher co-organised and co-chaired with Pedro Magalhães (Lisbon University, Institute of Social Sciences) the workshop on “Measuring Corruption: State of the Art, Challenges, and Advancements.” Paper presenter and discussant.
4. 12th EPSA Annual Conference, Prague (23 – 25 June 2022). Panel: Corruption and Clientelism. Paper presenter.
5. IPSA, Research Committee-20 “Political Finance and Corruption”, Annual Meeting, Prague (19-21 July). Paper presenter and discussant.
6. APSA Annual Meeting, Montréal, Québec, Canada (September 15-18, 2022). Panel: Corruption and Institutions in the (Post-)Communist World. Paper presenter and panel discussant.
In addition, the joint work of the researcher and his supervisor at DCU, was presented by Iain McMenamin at:
1. Research workshop organised by the DCU Anticorruption Research Centre and DCU Business School (28 February 2022)
2. Online research seminar at the Department of Political Economy, King’s Colledge London (15 March 2022)
3. Research seminar at the Insitute of European Affairs, University of Tirana (6 April 2022).

Finally, the researcher disseminated the project’s results on his webpage. He published several blog posts based on his research and replicated two studies on the public funding-corruption relationship to analyse their strengths and weaknesses. The webpage also presents interactive visualisations of the relationship between various party financing indicators, corruption and electoral integrity.
The MSCA fellow has committed to producing several research outputs to advance the state of the art. Some are published, while others are in the final submission stage or expected to be published in 2023.
1. Lipcean, S. (2022). Direct public funding of political parties: Between proxy measures and hard data. Party Politics 28(6): 1041–1057 (DOI: 10.1177/13540688211037302).
2. Lipcean, S. (2021). Dataset on direct public funding of political parties across post-communist regimes 1990-2020. Harvard Dataverse (DOI: 10.7910/DVN/TNHZML).
3. Lipcean, S., McMenamin, I. (expected 2023) “Rethinking public funding of parties and corruption: confronting theoretical complexity and challenging measurement”. Under evaluation in Governance after it was peer-reviewed and resubmitted.
4. Lipcean, S. “Does state funding of political parties reduce political corruption? Evidence from the post-communist space” is undergoing technical amendments to comply with journal requirements and will be submitted soon.
5. Lipcean S., Casal Bertoa, F. (expected 2023), “Political financing and political corruption”. Encyclopedia entry for the Encyclopaedia of Corruption (editors Luis de Sousa & Susana Coroado), expected to be published with Edward Elgar Publishing approximately in the 3rd quarter of 2023.
Earlier manuscript versions of the 3rd & 4th research outputs are available as working papers on the fellow’s webpage. The results from the research output point to several issues in the previous comparative research on political financing and corruption.
First, scholars should be more careful with the operationalisation of political financing indicators and their use to assess their impact on various governance outcomes, including corruption. As the first research output demonstrates (and the blog posts), dichotomous indicators, aggregates indices and expert assessments of political financing and public funding have low validity. Therefore their use in comparative research is risky and might produce unreliable results.
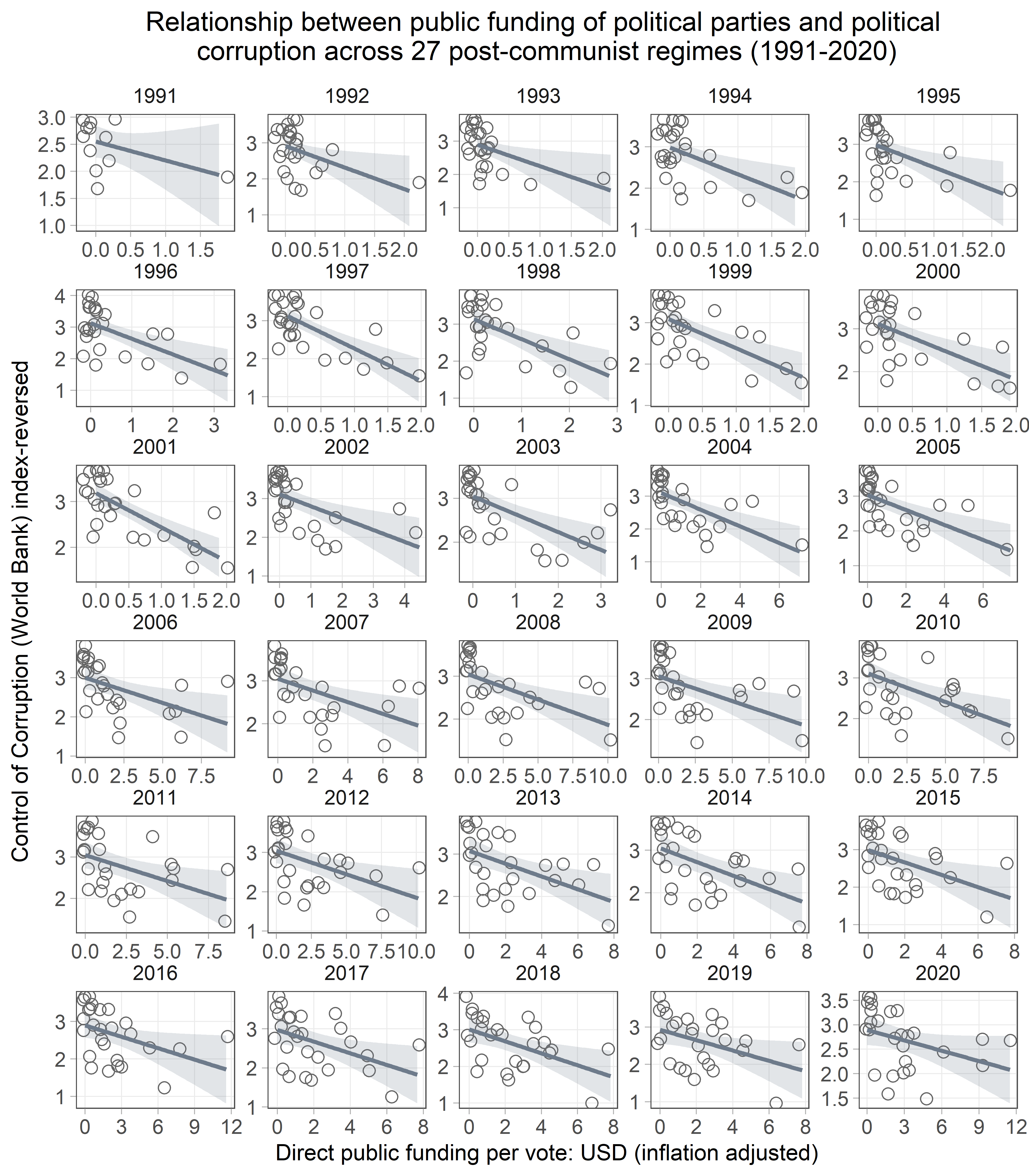
Second, more generous public funding does not necessarily translate into lower perceived corruption. In the fourth research output, the researcher discovered that more generous state subsidies are associated with lower corruption only in the early stage of democratisation. Over time, the negative effect of public funding on political corruption decreases.
Third, by constructing and using an alternative corruption measure based on firm-level data, the MSCA fellow and his co-author discovered (third research output) that more generous public funding is associated with a lower proportion of businesses negatively affected by illegal payments to political parties. Yet this effect is not immediate, and the negative impact of public funding on corruption is felt only when the state support is generous, not merely symbolical.
Overall, these results suggest that companies are more sensitive than the public to changes in the opportunity structure of corruption engagement due to the provision of direct public funding of political parties. Thus public funding might, in the long term, entail a positive social and economic impact, although the general public might not perceive it.
Public funding of parties and political corruption
Mein Booklet 0 0