Skip to main content
Przejdź do strony domowej Komisji Europejskiej (odnośnik otworzy się w nowym oknie)
polski polski
CORDIS - Wyniki badań wspieranych przez UE
CORDIS

Standardized Qualifying tests of electrolysers for grid services

Periodic Reporting for period 3 - QualyGridS (Standardized Qualifying tests of electrolysers for grid services)

Okres sprawozdawczy: 2020-01-01 do 2020-06-30

In the course of EU decarbonisation with increasing renewable energy share the electricity sector will experience demand and generation-driven fluctuations. The conversion of excess electricity to hydrogen (and vice versa) can help facilitate the integration of large shares of intermittent renewable sources into the electrical grid. Water electrolysers (WE) can produce hydrogen from excess or low cost electricity and can provide balancing load in electricity grids. The hydrogen is used as feedstock for chemical industry or as a fuel for mobility, storage of hydrogen and conversion back to electricity when needed or feeding into the gas grid.
Electricity grid services are used by grid operators to achieve reliable and effective operation of electricity grids. The requirements of grid services can vary from service to service and from region to region. Usually a grid service requires that a supplier or consumer of electricity like e.g large scale electrolysers should make an increase or decrease of its power according to the grid service request. However, an analysis of performance requirements, the definition of standardized tests for water electrolyser qualification and the development of business models combining various electrolyser uses are important issues still to be solved and are addressed by QualyGridS.
By making available qualification tests for water electrolysers to manufacturers and their customers and showing possible business models, selling tools and arguments will be obtained to convince future clients, operators and users.
More detailed objectives are:
- Review of electrical grid service requirements
- Testing protocols ready for international standard + Performance Indicators
- State of the art PEM and alkaline electrolyser systems tests for protocol and electrolyser qualification
- Analysis of business models and market opportunities in EU states
- Project results communication and interaction with relevant stakeholders
The objectives could fully be achieved. State-of-the art PEM and alkaline WE can qualify for performing electricity grid services.
A comprehensive review of electricity grid service requirements in Europe, focusing on technical aspects, was composed and state-of-the-art electrolysers’ capability was reviewed. Based on the review, grid services that can be potentially delivered by WE were selected for test protocol development.
Testing protocols were submitted for water electrolysers performing relevant grid services. Protocols and Performance Indicators were described for grid service relevant parameters, FCR, aFRR, mFRR and RR grid services. The presently valid new requirements for grid services of European countries are included as well as the experience and feedback from testing the protocols with the project’s WEs and detailed instructions for data evaluation.
Both versions of the testing protocols have been validated in five different electrolyser systems within the project. Alkaline WE systems with stacks manufactured by the project partner IHT were tested at Aragon Hydrogen Foundation and at IHT. A latest-state-of-the-art PEM WE sys-tem (≤35 kW) designed and manufactured by ITM was tested on a test bench at DTU. Also used for testing is a PEM WE (≤50 kW) operated by DLR (manufacturer Hydrogenics) and data of a 1 MW WE of the same manufacturer is included. Finally a NEL alkaline WE (≤300 kW) similar to systems used for refueling stations was adapted to the grid services’ requirements and the tests were run. All results have been used to improve and refine the protocols and to identify the electrolyser’s grid service capability. The results showed that protocols are clear and implementable, that all technical PEMWE and AWE can meet most of the grid services requirements and that a power instead of a current control of the system and an appropriate control implementation of the test bench is needed. The test results were published in a peer-reviewed paper and a public report.
The economic opportunities for WE to participate in grid services was precisely specified. The business logic with the understanding how the way of participation of WE in grid services can contribute to improve the economic performance was set up. Dynamic simulations could identify parameter sensitivities and the impact of potential future evolutions.
The testing protocols were presented to the ISO hydrogen standardization community and ISO/TC 197 ”Hydrogen Technologies” agreed that a new working group for working out an ISO technical report based on the testing protocols of this project will be set up. Standardisation is the major exploitation of the project. Furthermore the manufacturers will implement power control for grid services. Projects results will be presented in conferences and papers after the project. All participants gained knowledge that they will use in their future activities. A set of recommendation of next steps at European level for addressing market introduction of electrolysers for grid services was set up and published.
Testing protocols for water electrolysers performing electricity grid services in a variety of countries were to our knowledge not yet publically available. Therefore the draft of such protocols with step by step instruction, compact runtime and clear validation criteria and performance indicators is a progress beyond the state of the art. The experimentally evaluated testing protocols are published and ISO standardization organisation agreed that a new working group for working out an ISO technical report based on the testing protocols of this project will be set up. This standardisation activity will provide electrolyser manufacturers and their customers with a verified way to characterize the system’s capability. The protocols were also included in parts in the JRC report for harmonized electrolyser testing in Europe to be published soon.
The testing protocols were applied in 3 alkaline and 2 PEM WE systems identifying the system’s capability to provide grid services and possible gaps. The participating manufacturers could identify the potential need for development and are provided with selling arguments.
The existing data base describing grid service markets in Europe has been extended by own primary research, leading to a reliable overview of prices and market conditions. There is now a better vision of the opportunities for WE to participate in grid services, the business logic and of the potential future evolutions.
Workshops and an ongoing symposium series on Grid Service Markets in Europe could be established (GSM: www.GridServiceMarket.com). In the workshops at different stages of the project the project results and findings on water electrolyser protocols and testing as well as on market aspects could be disseminated to experts from grid markets and electrolyser developers and manufacturers.
The findings of the project on the technical capability of WEs to provide grid services and on the potential economic impact of grid services participation were included in a public report about review, analysis and recommendations at the European level. It also included recommendation what further steps and support would be needed to activate this market.
A stronger penetration and integration of water electrolysers for electricity grid services in Europe is prepared by the overall work of this project. The project results may boost electrolyser industry and grid service applications.
35kW ITM PEM-water electrolyser system installed in DTU's test bench
50 kW PEM electrolyser system at DLR in gas grid and refueling station environment
Alternative configurations studied for prospective business cases
Relative and absolute LCOH-savings due to grid services for ALK-WE and PEM-WE
Aggregated aFRR test protocol result of alkaline electrolyser at IHT
Test bench for alkaline electrolyser at Aragon Hydrogen Foundation (FHa).
FCR test results of ITM/DTU PEM-WE. Left: stack input; right AC power input
Results of the survey on grid services and market data (average availability prices of 2016)
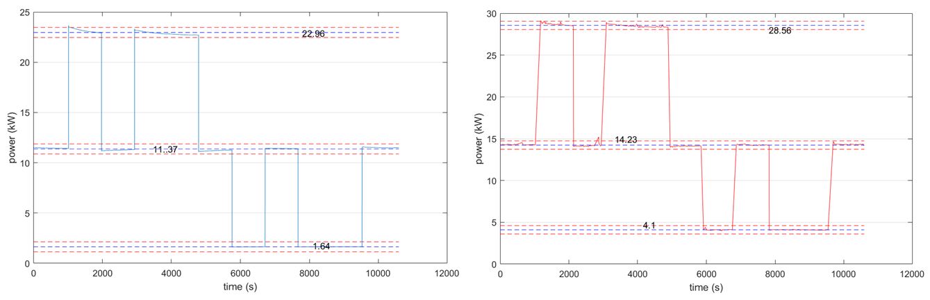
Aggregated FRR test result with NEL alkaline electrolyser
A schematic overview of services requested by grid operators & other stakeholders
Moja broszura 0 0