Skip to main content
Przejdź do strony domowej Komisji Europejskiej (odnośnik otworzy się w nowym oknie)
polski polski
CORDIS - Wyniki badań wspieranych przez UE
CORDIS

Hydrodynamics of Ferromagnetic Nematic Liquid Crystals

Periodic Reporting for period 1 - MagNem (Hydrodynamics of Ferromagnetic Nematic Liquid Crystals)

Okres sprawozdawczy: 2016-10-01 do 2018-09-30

MagNem was designed as an interdisciplinary project, where the development of new materials, the characterization of the static and dynamic properties together with theoretical modelling gathered to reach the proposal’s goals. The experimental realization of true ferromagnetic nematics (FNLC) by the Host group constitutes an outstanding step opening a new field in soft matter physics which was explored by MagNem. The main goal of MagNem was to provide a deep knowledge of the structure-properties relationship, understanding the variety of exploitable static and dynamic properties (e.g. converse magneto-electric and magneto-optic effects, electro- and magneto- rheological properties) arising from the coupling of the mesomorphic elasticity and the magnetization.

Although initially proposed in the 70's, it was not till 2013 that the Scientist in Charge experimentally achieved a stable dispersion of magnetic nanoparticles in a nematic liquid crystal which lead to a true fluid ferromagnetic phase at room temperature. Such a breakthrough was accomplished in suspensions of Sc-substituted barium hexaferrite (BaHF) magnetic nanoplatelets suspended in 5CB. The particle's platelet shape together with perpendicular anchoring (dodecylbenzenesulphonic acid surfactant - DBSA) induce a quadrupolar nematic director field around the platelets, preventing their aggregation in the director direction. In addition, magnetic interactions between the platelets seem to be such that parallel, that is ferromagnetic, ordering of the dipoles is promoted resulting in the macroscopic magnetization M. The magnetization M and the director n are thus coupled through the nanoplatelets surface anchoring of the nematic liquid crystal (NLC) molecules. Such coupling is responsible for a variety of distinct behaviours under the application of external magnetic fields resulting into field-control of the material properties, which constitutes an encouraging basis for applications in magneto-optic devices.
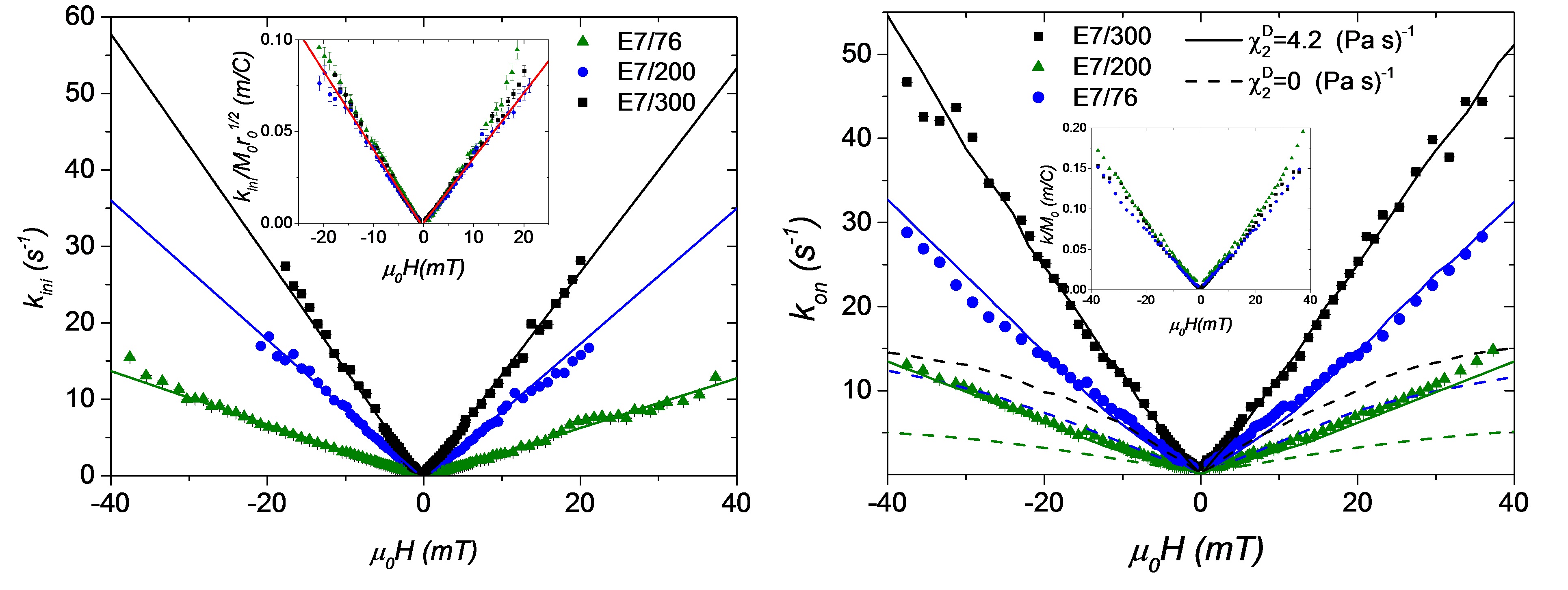
- We have analysed the direct coupling term between the two macroscopic order parameters of FNLC (magnetization and nematic director) against a macroscopic description of this complex systems. The static coupling parameter is responsible for the reorientation of the nematic director under the application of external magnetic fields or the reorientation of the magnetization under the application of electric fields. Such parameter has been directly related to microscopic parameters of the system as the concentration of particles, their magnetic moment, shape and size and more importantly the anchoring strength provided by the particles surfactant coating.
Published in Soft Matter (DOI:10.1039/C8SM01377B)

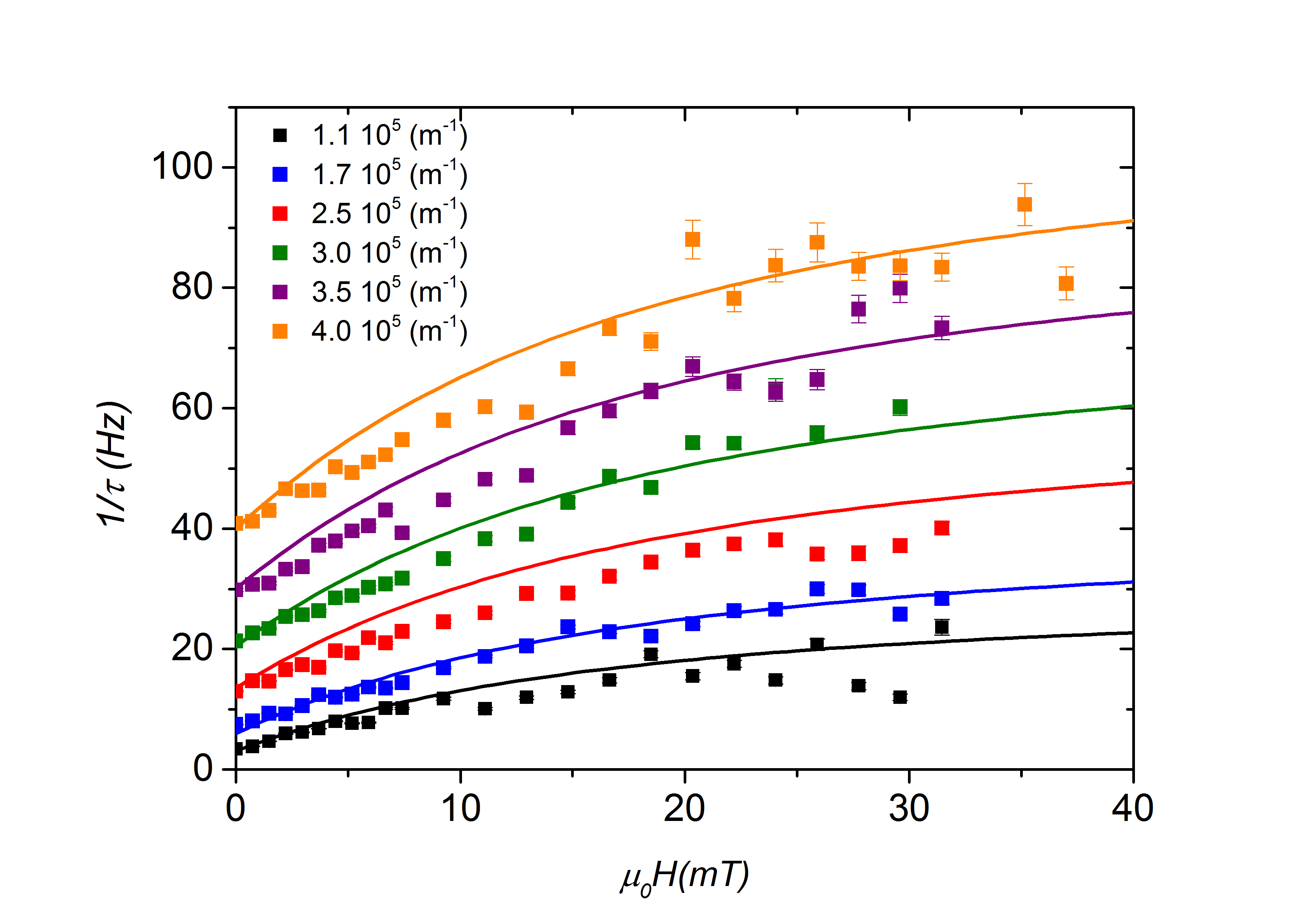
- The dynamics of the director reorientation under the application of an external magnetic field were studied. We focused on the effect and underlying source of a dissipative cross-coupling coefficient, which is essential to describe the observed switching rates. The same parameter value obtained for samples with the same NLC host but different particles concentration together with the different values obtained when varying the NLC host, proves that the value of the dissipative cross-coupling coefficient is independent of the sample’s magnetization, i.e. of the macroscopic picture, but is a constitutive parameter of the host.
Published in Phys. Rev. E (DOI:10.1103/PhysRevE.97.012701) and Soft Matter (DOI:10.1039/C8SM01377B)

- Magneto and electro-rheological results were performed during the secondment in the Wigner Institute in Budapest. Magneto-viscous effect with changes up to 4 times of effective shear viscosity have been measured at very small magnetic fields, at which pure nematic samples do not show any effect. The magnitude of director deformation was confronted with electro-rheological measurements.
At least one publication is expected on this topic.

- Combining standard dynamic light scattering techniques with the newly developed differential dynamic microscopy the spectrum of fundamental fluctuations was studied as well as its dependence on external static magnetic field. Interpretation of the results can be performed by means of the theoretical model develop by our collaborators.
Preliminary results are published in J. Mol. Liq.(DOI:10.1016/j.molliq.2017.11.157) one additional publication is expected.

- As a broadening of the project's goals and with the aim on integrating the fellows previous background and knowledge into the host group, she participated in the work that lead to the description of a novel nematic phase described by a splay modulation of the director.
Published in Phys. Rev. X (DOI:10.1103/PhysRevX.8.041025)
During this fellowship we gained deeper knowledge on how a different surfactant affects the stability of suspensions and the formation of ferromagnetic nematic phase. The greatly long-term stable samples achieved were deeply studied in order to relate the defined macroscopic static coupling parameter with the microscopic aspects of these smart materials (N. Sebastián et al., Soft Matter, 2018, 14, 7180–7189). Moreover, in successful collaboration with recognized experts on theory of complex dynamics in anisotropic fluids (Dr. D Svenšek, Prof. H.R. Brand and T. Potisk) we studied switching dynamics in order to analyze the dependency of the dissipative cross-coupling coefficient between the nematic director and magnetization on different material parameters as saturation magnetization and LC host (T. Potisk, et al., Phys. Rev. E, 2018, 97, 012701). The knowledge gained in this study allows to establish which is the path to follow for design of materials with faster responses to external magnetic fields (N. Sebastián et al., Soft Matter, 2018, 14, 7180–7189). FNLC exhibit properties of magneto-rheological fluids which have been explored during the development of this project. Changes of the viscosity up to 4 times have been obtained under really small magnetic fields. Fundamental hydrodynamics of the system were finally explored through the study of the amplitude and rates of thermal orientational fluctuations (N. Sebastián, et al., J. Mol. Liq., 2018) and their dependency of external magnetic fields. All together MagNem outcome constitutes outstanding progress in terms of generated knowledge in this previously inaccessible field of soft matter, which is expected to boost a wide range of investigations, both in fundamental science and in technological applications.

The successful realization of MagNem has allowed the fellow to broaden her scientific and transferable skills in one of the top research institution in Europe. In the framework of H2020, open access to all the per-reviewed publications related with MagNem has been ensured through the ArXiv repository. During the completion of this action special attention was paid in the communication and dissemination of the results to the scientific community and the general public, in order to increase awareness of science. Finally, MagNem's impact on the ERA can be accounted by the interdisciplinary approach of its research, the transfer of knowledge and the creation of new long-term synergies between researchers and institutions of different countries. It should also be noted, that MagNem allowed the ERA to keep a leading position in the research on this new type of advanced functional composites that are the ferromagnetic nematic colloidal systems.
Static coupling parameter vs the inverse of the saturation magnetization for different samples
Experimental and theoretical analysis of the (left) initial dynamics and (right) reorientation rates
a) Magneto- and b) Electro-viscous effect on the ferronematic nematic liquid crystal
Comparison of the experimental twist fluctuation's rates as a function of applied magnetic field
Moja broszura 0 0