Skip to main content
Przejdź do strony domowej Komisji Europejskiej (odnośnik otworzy się w nowym oknie)
polski polski
CORDIS - Wyniki badań wspieranych przez UE
CORDIS

Higher Epsilon-Factors for Higher Local Fields

Periodic Reporting for period 1 - HEF (Higher Epsilon-Factors for Higher Local Fields)

Okres sprawozdawczy: 2016-10-17 do 2018-10-16

Speaking in very broad terms, pure mathematics can be divided into two fields: analysis and algebra. Analysis is often seen as the backbone of physics. This viewpoint goes back to the origins of this area in the work of Newton and Leibniz who sought to understand the world around us by analysing the mathematical meaning of "rate of change” and thereby discovering calculus. From this perspective, classical mechanics simply is the study of a complicated system of differential equations. That is, a system of equations connecting the rate of change of a system to other constraints and thereby describing the physical reality (or at least a convincing model thereof).

Algebra on the other hand provides a solid framework for number theory, many curious arithmetic phenomena that mathematicians observed (sometimes for centuries) found satisfactory explanations in rigorous algebraic terms. A famous example is Deligne’s proof of the Weil conjectures. From an arithmetic perspective, these conjectures are concerned with the number of solutions to equations over finite fields. E.g. rather than searching for integral solutions to the equation x^2 + y^2 = z^2, we could search for triples of integers x, y, z, such that the equality holds up to the multiple of a prime number. The Weil conjectures predict that the number of solutions over finite fields is deeply connected to the topological properties of the geometric shape given by solutions to the same system of equations over the complex numbers. Deligne’s proof uses hard algebraic methods, namely the full strength of Grothendieck’s étale cohomology.

Recently it has become evident that the border between algebra and analysis is not as clear-cut as expected. A web of analogies emerged linking differential equations to arithmetic phenomena related or analogous to the Weil conjectures and the surrounding mathematics. Furthermore, a new proof of the Weil conjectures, due to Kedlaya, utilises the theory of differential equations over so-called p-adic fields (in the guise of F-isocrystals) rather than Grothendieck’s étale cohomology.

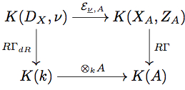
The content of this project also lies in this transition zone between algebra and analysis. Inspired by these considerations above, the project studied systems of differential equations (as they arrive in algebraic geometry) from an arithmetic perspective. This leads to (as we believe) an interesting mix of algebraic, categorical and analytical methods and sheds new light on the structures governing differential equations. The main objective was to continue the development of study of epsilon factors for systems of differential equations by Deligne, Beilinson—Bloch—Esnault, and Patel, and explore connections to the (arithmetic) theory of F-isocrystals and the theory of Higgs bundles (algebro-geometric, yet related to mathematical physics).

We reached the following conclusions: there exists a formalism epsilon factors for differential equations in higher dimensions, suggesting a similar formalism in arithmetic contexts (Galois representations, F-isocrystals). Furthermore, the theory of epsilon factors for differential equations relies on constructions related to the theory of Higgs bundles. In joint work with Wyss and Ziegler, the fellow proved an open conjecture in the theory of Higgs bundles, due to Hausel—Thaddeus. Furthermore, in order to provide a bridge between differential equations and arithmetic applications, the fellow studied in joint work with Prof. Esnault so-called rigid systems of differential equations and could prove several results implied by a conjecture of Prof. Simpson, including integrality of monodromy for cohomologically rigids, and the existence of an F-isocrystal structure for rigid systems of differential equations.

The importance to society of a project in pure mathematics is notoriously hard to evaluate. Similar mathematics with relation to arithmetic geometry has proven useful in areas such as encryption and mathematical physics. But we aren’t aware of any potential applications of our work in these areas. On a different level, we believe that the presence of this project at FU Berlin has positively contributed to the mathematical community in Berlin, Germany, and more generally in Europe.
The first few months were intensively devoted to study of the existing literature, and in somewhat lighter form this continued throughout the entire duration of the fellowship. This serves the purpose of creating awareness of the existing theoretical framework, important open questions, and state of the art developments. Furthermore the fellow had to acquire the skills needed to analyse potential arithmetic applications. Under the supervision of Prof. Esnault he familiarised himself with the theory of F-isocrystals and proved a conjecture (inspired by a conjecture of Simpson) that rigid flat connections give rise to F-isocrystals. In addition we proved Simpson’s integrality conjecture which predicts that rigid flat connections have integral monodromy. Based on previous work of the fellow with Braunling and Wolfson, the fellow studied epsilon factors for flat connections from the point of view of certain infinite-dimensional vector spaces (known as higher Tate vector spaces). This led to the discovery of surprising connection between the theory of Higgs bundles and de Rham epsilon factors, by interpreting the epsilon factor as measuring the difference of a de Rham and a Higgs complex. The fellow deepened his understanding of the theory of Higgs bundles and succeeded in establishing the Hausel—Thaddeus conjecture in joint work with Wyss and Ziegler. The remainder of the project was devoted to giving a K-theoretic interpretation of de Rham epsilon factors à la Patel. The fellow observed that the theory of P1-homotopy (as arising in the context of reciprocity sheaves) provides a useful categorical framework for the sought-for K-theoretic interpretation of de Rham epsilon factors. All of these results have been disseminated as publicly available preprints and are submitted to peer-reviewed journals (2 articles are already published).
The fellow’s work has led to the resolution of the Hausel—Thaddeus conjecture (joint with Wyss and Ziegler) and progress on Simpson’s conjecture on rigid flat connections (joint with Esnault). These were unexpected breakthroughs. Furthermore, the fellow successfully developed a theory of de Rham epsilon factors in higher dimensions and for higher local fields. It is natural to expect that a similar theory exists for Galois representations or F-isocrystals. The socio-economic and wider societal implications of a pure maths project are hard to evaluate. We emphasise here that the fellow participated in outreach activities (Girls’ Day at FU Berlin) designed to engage the general public with content related to mathematical research.
De Rham Epsilon factor
Moja broszura 0 0